М
Молодежь
К
Компьютеры-и-электроника
Д
Дом-и-сад
С
Стиль-и-уход-за-собой
П
Праздники-и-традиции
Т
Транспорт
П
Путешествия
С
Семейная-жизнь
Ф
Философия-и-религия
Б
Без категории
М
Мир-работы
Х
Хобби-и-рукоделие
И
Искусство-и-развлечения
В
Взаимоотношения
З
Здоровье
К
Кулинария-и-гостеприимство
Ф
Финансы-и-бизнес
П
Питомцы-и-животные
О
Образование
О
Образование-и-коммуникации
Education26
Education26
22.12.2022 20:00 •  Математика

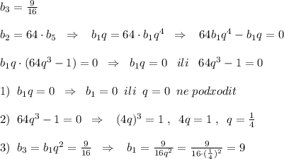
Третий член прогрессии равен 9/16, а второй больше пятого в 64 раза. найти знаменатель прогрессии и сумму первых пяти ее членов.

👇
Ответ:
maryanamishukova
maryanamishukova
22.12.2022
b_3=\frac{9}{16}\\\\b_2=64\cdot b_5\; \; \Rightarrow \; \; \; b_1q=64\cdot b_1q^4\; \; \Rightarrow \; \; \; 64b_1q^4-b_1q=0\\\\b_1q\cdot (64q^3-1)=0\; \; \Rightarrow \; \; b_1q=0\; \; \; ili\; \; \; 64q^3-1=0\\\\1)\; \; b_1q=0\; \; \Rightarrow \; \; b_1=0\; \; ili\; \; q=0\; \; ne\; podxodit \\\\2)\; \; 64q^3-1=0\; \; \Rightarrow \; \; \; (4q)^3=1\; ,\; \; 4q=1\; ,\; \; q=\frac{1}{4}\\\\3)\; \; b_3=b_1q^2=\frac{9}{16}\; \; \Rightarrow \; \; \; b_1=\frac{9}{16q^2}=\frac{9}{16\cdot (\frac{1}{4})^2}=9

4)\; \; S_5=\frac{b_1(1-q^5)}{1-q}= \frac{9\cdot (1-\frac{1}{4^5})}{1-\frac{1}{4}} = \frac{9\cdot \frac{1023}{1024}}{\frac{3}{4}} = \frac{9\, \cdot 1023\, \cdot 4}{1024\, \cdot 3} = \frac{3\, \cdot 1023}{256}=\\\\= \frac{3069}{256}=11\frac{253}{256}
4,6(21 оценок)
Открыть все ответы
Ответ:
FireStreamGun
FireStreamGun
22.12.2022
было в 2-х б.   720 л;
доб.в 1-ю 10 %;
доб. во 2-ю 15 %;
всего доб. 80 л;
1-я б. ---? л; 2-я б. --- ? л
Решение.
10 % = 10/100 = 0,1:;   15 % = 15/100 = 0,15
Х л  количество молока во второй бочке;
(720 - Х) л количество молока в первой бочке. 
Х * 15 % = 0,15Х (л) добавлено во вторую бочку;
(720 - Х) * 10 % = (72 - 0,1Х) (л) добавлено в первую бочку;
0,15Х + 72 - 0,1Х = 80 по условию;
0,05Х = 8; Х = 8 : 0,05 = 160 (л) было во второй бочке;
720 - 160 = 560 (л) было в первой бочке.
ответ: 560 л молока было в первой бочке и 160 во второй.
Проверка: 160*15% + 560*10% = 80;   80 = 80
4,7(34 оценок)
Ответ:
karavanov1
karavanov1
22.12.2022
Напишу свою мечту не суди)
РУССКИЙ
В детстве я очень хотела быть принцессой, я хотела порхать как бабочка. Папа купил мне костюм и крылья бабочки. И я по дому просто порхала как бабочка и была очень красивой, я уронила цветок и вазу, но мама меня не ругала, мама была очень доброй в этот день. Папа разрешил мне одеть корону. Я очень хотела эту корону. Все в этот день были добрые. И моя мечта сбылась
БАШКИРСКИЙ
Баласаҡта мин бик теләнем булырға принцесс, мин теләнем порт күбәләк кеүек. Атай һатып алған, миңә костюм һәм крылья бабочки. Һәм мин өйҙә генә порха нисек күбәләк һәм бик яҡшы булды, мин родила тирмәне һәм вазу, ләкин әсәй мине түгел рудала, әсәй бик файҙалы был көндө. Атай тип әйт миңә одеть корону. Мин бик теләнем был корону. Барыһы да был көндө ярар ине. Һәм минең хыялым ысынлап ашты
4,4(2 оценок)
logo
Вход Регистрация
Что ты хочешь узнать?
Спроси Mozg
Открыть лучший ответ