М
Молодежь
К
Компьютеры-и-электроника
Д
Дом-и-сад
С
Стиль-и-уход-за-собой
П
Праздники-и-традиции
Т
Транспорт
П
Путешествия
С
Семейная-жизнь
Ф
Философия-и-религия
Б
Без категории
М
Мир-работы
Х
Хобби-и-рукоделие
И
Искусство-и-развлечения
В
Взаимоотношения
З
Здоровье
К
Кулинария-и-гостеприимство
Ф
Финансы-и-бизнес
П
Питомцы-и-животные
О
Образование
О
Образование-и-коммуникации
azalia2003love
azalia2003love
20.12.2021 16:35 •  Математика

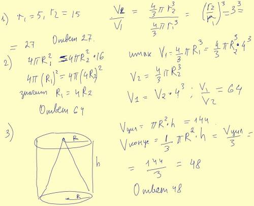
1) даны два шара с радиусами 5 и 15. во сколько раз объем первого шара меньше объема второго? 2) площадь поверхности первого шара больше площади поверхности второго в 16 раз. во сколько раз объем первого шара больше объема второго шара? 3) конус и цилиндр имеют общее основание и общую высоту(конус вписан в цилиндр) вычислить объем конуса, если объем цилиндра равен 144.

👇
Ответ:
serdykivka
serdykivka
20.12.2021
ответ в картинке на фотографии

1) даны два шара с радиусами 5 и 15. во сколько раз объем первого шара меньше объема второго? 2) пло
4,6(13 оценок)
Открыть все ответы
Ответ:
polinaskibina
polinaskibina
20.12.2021
Задача решается подстановки чисел (угадыванием).(ДЛЯ 3-4кл) Пусть была 1лодка-6человек,тогда 9лодок по 4 человека, (всего 10 лодок) 6чел. * 1лод. + 4чел. * 9лод. = 42(чел). - не подходит 6ч. * 2лод + 4ч. * 8лод. = 44(чел). - не подходит 6ч. * 3лод + 4ч. * 7лод. = 46(чел). - подходит 6ч. * 4лод.+ 4ч. * 6лод. = 48(чел). - не подходит ответ: 3лодки по 6человек и 7лодок по 4человека. Решение уравнением. х лодок - шестиместных (10-х)лодок - четырехместных 6х (человек) - в шестиместных лодках 4(10-х) = 40 - 4х (челов). - в четырехместных лодках 6х+40-4х=46 6х-4х=46-40 2х=6 х=3(лодки) - шестиместных 10-3=7(лодок) - четырехместных Проверка: 3*6+4*7=46(чел).
4,4(55 оценок)
Ответ:
Задача решается подстановки чисел (угадыванием).(ДЛЯ 3-4кл) Пусть была 1лодка-6человек,тогда 9лодок по 4 человека, (всего 10 лодок) 6чел. * 1лод. + 4чел. * 9лод. = 42(чел). - не подходит 6ч. * 2лод + 4ч. * 8лод. = 44(чел). - не подходит 6ч. * 3лод + 4ч. * 7лод. = 46(чел). - подходит 6ч. * 4лод.+ 4ч. * 6лод. = 48(чел). - не подходит ответ: 3лодки по 6человек и 7лодок по 4человека. Решение уравнением. х лодок - шестиместных (10-х)лодок - четырехместных 6х (человек) - в шестиместных лодках 4(10-х) = 40 - 4х (челов). - в четырехместных лодках 6х+40-4х=46 6х-4х=46-40 2х=6 х=3(лодки) - шестиместных 10-3=7(лодок) - четырехместных Проверка: 3*6+4*7=46(чел).
4,6(64 оценок)
Новые ответы от MOGZ: Математика
logo
Вход Регистрация
Что ты хочешь узнать?
Спроси Mozg
Открыть лучший ответ