М
Молодежь
К
Компьютеры-и-электроника
Д
Дом-и-сад
С
Стиль-и-уход-за-собой
П
Праздники-и-традиции
Т
Транспорт
П
Путешествия
С
Семейная-жизнь
Ф
Философия-и-религия
Б
Без категории
М
Мир-работы
Х
Хобби-и-рукоделие
И
Искусство-и-развлечения
В
Взаимоотношения
З
Здоровье
К
Кулинария-и-гостеприимство
Ф
Финансы-и-бизнес
П
Питомцы-и-животные
О
Образование
О
Образование-и-коммуникации
sowaties
sowaties
28.03.2023 06:18 •  Математика

Решить
logx(3-2\sqrt{2}) =2

👇
Ответ:
MADHOP2016
MADHOP2016
28.03.2023

\sqrt{2} -1

Пошаговое объяснение:

ОДЗ

\left \{ {{x0} \atop {x\neq1}} \right.

По свойству логарифмов

x^{2} =3-\sqrt{2}

3-\sqrt{2} =1-2\sqrt{2} +(\sqrt{2} )^2=1-2\sqrt{2}+2

x^2=(\sqrt{2}-1 )^2

Учитывая ОДЗ,

x=\sqrt{2} -1

4,4(78 оценок)
Ответ:
Mrsozic
Mrsozic
28.03.2023

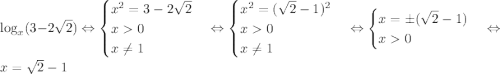
\log_x(3-2\sqrt{2}) \Leftrightarrow \begin{cases} x^2=3-2\sqrt{2} \\ x0 \\ x \neq 1 \end{cases} \Leftrightarrow \begin{cases} x^2=(\sqrt{2}-1)^2 \\ x0 \\ x \neq 1 \end{cases} \Leftrightarrow \begin{cases} x=\pm (\sqrt{2}-1) \\ x0 \end{cases} \Leftrightarrow x=\sqrt{2}-1

4,8(16 оценок)
Открыть все ответы
Ответ:
yecgaass121212
yecgaass121212
28.03.2023
1. Ну возможно человек уже ориентируется и все же есть какой-то навык
2.1- исправность руля и тормозов,
2- наличие исправных отражателей сзади и спереди
3- состояние педалей (должны крутится вокруг оси)
3. Движение: Велосипеды должны двигаться по велосипедной дорожке (ПД 24.3), а при её отсутствии — только по крайней правой полосе проезжей части в один ряд, озможно правее. Допускается движение по обочине, если это не создаёт помех пешеходам (ПДД 24.2).
Движение велосипедов (как и любых других транспортных средств) по тротуарам и пешеходным дорожкам запрещено (ПДД 9.9), но на практике к велосипедистам на тротуаре относятся достаточно снисходительно.

Запреты: Водителям велосипеда запрещается:
· ездить, не держась за руль хотя бы одной рукой (ПДД 24.3);
· перевозить пассажиров, кроме ребёнка в возрасте до 7 лет на дополнительном сиденье, оборудованном надёжными подножками (ПДД 24.3);
· перевозить груз, который выступает более чем на 0,5 м по длине или ширине за габариты, или груз, мешающий управлению (ПДД 24.3);
· двигаться по дороге при наличии рядом велосипедной дорожки (ПДД 24.3);
· поворачивать налево или разворачиваться на дорогах с трамвайным движением и на дорогах, имеющих более одной полосы для движения в данном направлении (ПДД 24.3) Следовательно, для осуществления левого поворота нужно: а) проехать перекресток прямо, развернуться в правом ряду пересекаемой дороги, и по разрешающему сигналу светофора вновь проехать перекресток прямо; или б) слезть с велосипеда и перейти дорогу по пешеходному переходу;
· двигаться по автомагистралям (ПДД 16.1);
· двигаться по дороге в тёмное время суток (и/или в условиях недостаточной видимости) без включенного переднего белого фонаря ("Основные положения по допуску транспортных средств к эксплуатации... ", п. 6);
· буксировка велосипедов, а также велосипедами, кроме буксировки прицепа, предназначенного для эксплуатации с велосипедом (ПДД 24.3).

Проезд пешеходных переходов: На регулируемых пешеходных переходах велосипедисты должны подчиняться сигналам велосипедных или общетранспортных светофоров, а также регулировщиков (ПДД п. 6).

На нерегулируемых пешеходных переходах велосипедисты, как и все прочие водители, должны уступать дорогу пешеходам (ПДД 14.1).

Велосипедистам не разрешается пересекать дорогу по пешеходному переходу, равно как и разворачиваться на пешеходном переходе; в этом случае нужно слезть с велосипеда и перейти дорогу как пешеход.

На пешеходных переходах и ближе 5 м перед ними запрещены остановка и стоянка.

ответственность за нарушение правил:
За нарушение ПДД велосипедистами предусмотрена административная ответственность.

( ответы все правильные )
4,8(43 оценок)
Ответ:
Такблэт228
Такблэт228
28.03.2023
ДАНО Y = x³+x-3
ИССЛЕДОВАНИЕ
1. Область определения - Х∈(-∞;+∞)
2. Пересечение с осью Х. Y=0 при х ≈ 1.21.
3. Пересечение с осью У.  У(0) = -3.
4. Поведение на бесконечности.limY(-∞) = - ∞  limY(+∞) = +∞
5. Исследование на чётность.Y(-x) = -x³-x+3 ≠ Y(x).Функция ни чётная ни нечётная.
6. Производная функции.Y'(x)= 3x² +1.
7. Корней нет
Возрастает - Х∈(-∞;+∞)
8. Вторая производная - Y"(x) = 6x.
9. Точка перегиба Y"(x)=0 при X=0.
Выпуклая “горка» Х∈(-∞;0)
Вогнутая – «ложка» Х∈(0;+∞).
10. График в приложении.

Высшая исследовать функцию у=х+х3-3 и построить график
4,4(60 оценок)
Это интересно:
Новые ответы от MOGZ: Математика
logo
Вход Регистрация
Что ты хочешь узнать?
Спроси Mozg
Открыть лучший ответ