М
Молодежь
К
Компьютеры-и-электроника
Д
Дом-и-сад
С
Стиль-и-уход-за-собой
П
Праздники-и-традиции
Т
Транспорт
П
Путешествия
С
Семейная-жизнь
Ф
Философия-и-религия
Б
Без категории
М
Мир-работы
Х
Хобби-и-рукоделие
И
Искусство-и-развлечения
В
Взаимоотношения
З
Здоровье
К
Кулинария-и-гостеприимство
Ф
Финансы-и-бизнес
П
Питомцы-и-животные
О
Образование
О
Образование-и-коммуникации
Nadya0210
Nadya0210
29.11.2020 10:53 •  Математика

Решить дифференциалы: 1)у=(4х-9)в7 степени, 2)у=sin(3x-9) 3)y=корень 15-7x

👇
Ответ:
НяшаНика
НяшаНика
29.11.2020
1) y'(x)=7(4x-9)^{6}*4=28*(4x-9)^{6}
2) y'(x)=Cos(3x-9)*3=3*Cos(3x-9)
3) y'(x)=- \frac{7}{2 \sqrt{15-7x} }
4,4(66 оценок)
Ответ:
hava27
hava27
29.11.2020
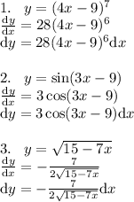
\\1.\; \; \; y=(4x-9)^7\\ \frac{\mathrm{d}y }{\mathrm{d} x}=28(4x-9)^6\\ {\mathrm{d}y }=28(4x-9)^6{\mathrm{d}x}\\ \\2.\; \; \; y=\sin(3x-9)\\ \frac{\mathrm{d}y }{\mathrm{d} x}=3\cos(3x-9)\\ {\mathrm{d}y }=3\cos(3x-9){\mathrm{d}x}\\ \\3.\; \; \;y=\sqrt{15-7x}\\ \frac{\mathrm{d}y }{\mathrm{d} x}=-\frac{7}{2\sqrt{15-7x}}\\ {\mathrm{d}y }=-\frac{7}{2\sqrt{15-7x}}{\mathrm{d}x}\\
4,8(14 оценок)
Открыть все ответы
Ответ:
sashakesha2006
sashakesha2006
29.11.2020
Дано:
масса чемодана=1,5 массы сумки
общий вес=20 кг
Найти:
Вес чемодана -? кг
Вес сумки-? кг
Решение
уравнение)
Пусть х - масса сумки, тогда масса чемодана в 1,5 раза больше и составит 1,5х кг. Общий вес 20 кг. Составим и решим уравнение:
х+1,5х=20
2,5х=20
х=20÷2,5=8 (кг) - вес сумки
1,5х=1,5×8=12 (кг) - вес чемодана
ОТВЕТ: масса сумки составляет 8 кг, а чемодана - 12 кг.

задача на части)
Масса чемодана - 1,5 части
Масса сумки - 1 часть
(масса чемодана:масса сумки=1,5:1)
Всего 1 часть+1,5 части =2,5 части
2,5 части составляют 20 кг, тогда одна часть равна: 20÷2,5=8 (кг)
Масса сумки - одна часть, значит равна: 1×8=8 (кг)
Масса чемодана - 1,5 части, значит равна: 1,5×8=12 (кг)
ОТВЕТ: масса сумки равна 8 кг, масса чемодана равна 12 кг.
4,7(88 оценок)
Ответ:
Edam
Edam
29.11.2020
Дано:
масса чемодана=1,5 массы сумки
общий вес=20 кг
Найти:
Вес чемодана -? кг
Вес сумки-? кг
Решение
уравнение)
Пусть х - масса сумки, тогда масса чемодана в 1,5 раза больше и составит 1,5х кг. Общий вес 20 кг. Составим и решим уравнение:
х+1,5х=20
2,5х=20
х=20÷2,5=8 (кг) - вес сумки
1,5х=1,5×8=12 (кг) - вес чемодана
ОТВЕТ: масса сумки составляет 8 кг, а чемодана - 12 кг.

задача на части)
Масса чемодана - 1,5 части
Масса сумки - 1 часть
(масса чемодана:масса сумки=1,5:1)
Всего 1 часть+1,5 части =2,5 части
2,5 части составляют 20 кг, тогда одна часть равна: 20÷2,5=8 (кг)
Масса сумки - одна часть, значит равна: 1×8=8 (кг)
Масса чемодана - 1,5 части, значит равна: 1,5×8=12 (кг)
ОТВЕТ: масса сумки равна 8 кг, масса чемодана равна 12 кг.
4,4(31 оценок)
Это интересно:
Новые ответы от MOGZ: Математика
logo
Вход Регистрация
Что ты хочешь узнать?
Спроси Mozg
Открыть лучший ответ