Вход
Регистрация
Спроси Mozg AI
М
Молодежь
К
Компьютеры-и-электроника
Д
Дом-и-сад
С
Стиль-и-уход-за-собой
П
Праздники-и-традиции
Т
Транспорт
П
Путешествия
С
Семейная-жизнь
Ф
Философия-и-религия
Б
Без категории
М
Мир-работы
Х
Хобби-и-рукоделие
И
Искусство-и-развлечения
В
Взаимоотношения
З
Здоровье
К
Кулинария-и-гостеприимство
Ф
Финансы-и-бизнес
П
Питомцы-и-животные
О
Образование
О
Образование-и-коммуникации
.....больше.....
..меньше..
bochar2001roody
21.11.2022 05:41 •
Математика
Выполните действие удобным
👇
Увидеть ответ
Ответ:
lakomka2018
21.11.2022
Вот удобный
4,8
(4 оценок)
Ответ:
sibuna1
21.11.2022
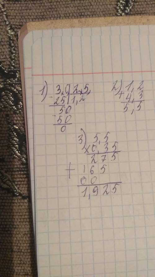
( 3:2,5+4,30*0,35
Сначала в скобках выполняет "сложное" действие или как его ещё называют "сильное.
1) 3:2,5=1,2
2) К 1,2 прибавляем 4,3
1,2+4,3= 5,5
3) Потом то что получилось в скобках умножаем на 0,35
5,5*0,35 = 1,925
ответ: 1,925
4,6
(90 оценок)
Открыть все ответы
Ответ:
alinakuzmich324
21.11.2022
Х- катер, х+4- теплохо, тогда: х+х+4=48 2х=44 х=22- катер 22+4=26 - теплоход
4,8
(60 оценок)
Ответ:
Вико1234
21.11.2022
Х- катер, х+4- теплохо, тогда: х+х+4=48 2х=44 х=22- катер 22+4=26 - теплоход
4,4
(92 оценок)
Это интересно:
С
Стиль-и-уход-за-собой
26.01.2020
Как отчистить сандалии Rainbow...
С
Стиль-и-уход-за-собой
18.02.2021
Как избавиться от темных кругов под глазами: советы от экспертов...
16.02.2023
Как расширить границы разума: несколько простых способов...
31.05.2021
Как перестать бояться быть счастливым: 7 советов для изменения мышления...
К
Компьютеры-и-электроника
14.05.2023
Как создать свою видеоигру с нуля: от идеи до релиза...
В
Взаимоотношения
26.10.2021
Мы все должны уважать и почитать своих родителей. Но как это сделать?...
О
Образование-и-коммуникации
22.08.2020
Как написать миф: вдохновляющая сила древних легенд...
В
Взаимоотношения
20.07.2022
Как сделать поцелуй бабочки: основные приемы и секреты...
О
Образование-и-коммуникации
05.09.2022
Как стать феминисткой: руководство для начинающих...
М
Мир-работы
14.04.2021
5 советов, как стать хорошей няней для детей...
Новые ответы от MOGZ: Математика
Асуна19
17.06.2021
10,5+1,8; 67,2: 12-3,25; 46,2: 132*1,6; (16,2,3+21,5): 14; (42,3+34,2): 9+3,5; (47,52-7,2): 6-0,81...
ansher76
17.06.2021
Вмагазине два рулона одинаковой ткани в одном рулоне 25 м ткани а в другом 49 м ткани стоимость второго рулона на 1440 больше чем стоимость первого сколько тенге стоит кусок...
mordecaill122
17.06.2021
Переведите в десятичную дробь обыкновенную дробь 6) 31/50 7) 3 целых 2/5 8) 5 целых 3/8...
ANI577
17.06.2021
При и угрозе взрыва или выбросе опасных веществ необходимо: органы дыхания. объект или зону. взрывоопасным или заряжанным объектам....
krisvll
17.06.2021
10,5+1,8; 67,2: 12-3,25; 46,2: 132*1,6; (16,2,3+21,5): 14; (42,3+34,2): 9+3,5; (47,52-7,2): 6-0,81...
чебурек48
17.06.2021
Точки d (-2; y)и c (3; 2) лежат на прямой ,перпендикулярной оси абцисс. найдите у....
askipolina
17.06.2021
Урованения 350: x равно 5*10 x: 30 равно 60*5...
Лизатян4
17.06.2021
Замените звездочки цифрами так чтобы вычисления столбиком были верными результат умножения запишите в ответ 45* х *** **3 + ***4 а) 987623 б) 362853 в) 317863 г) 674583...
Sofka11123
17.06.2021
Розничная цена на сок 295 тенге она на 20 % выше оптовой определите оптовую цену сока...
Marina56434655442
17.06.2021
M/1,8+2,05=9 n/5=63-56,08 k/8-6,09=6 z/19,63+0,37=8,376 x/78,09+21,91=0,736 y/98,35-83,17=7 решить уравление...
MOGZ ответил
Переменный ток 1. катушка имеет индуктивность 0,1 гн незначительное сопротивление....
9класс. системы счисления. вариант 9. 1. переведите в десятичную систему...
Желательно если можно побыстрей...
Докажите тождество (1/ (a + b + c)2 - 1/ (a - b - c)2) (a2– (b+c)2)2/ 4a(b...
Сочините не большую сказку на с переводом в времени...
Не((x =70)или не (x чётное) напишите наименьшее число x, для которого истинно...
Сумма 2х противолежащие.углов 96градусов.найдите все углы параллелограмма...
113. найдите сумму x+y, где (х; у) решение уравнения 9х2 +9y2 – 6x — 12y...
длина четвертой части ленты равна 8 дм. чему равна длина всей ленты? ответ:...
Что означает для а.с. пушкина истинная дружба? (на примере не менее трех...
Полный доступ к MOGZ
Живи умнее Безлимитный доступ к MOGZ
Оформи подписку
О НАС
О нас
Блог
Условия пользования
Авторское право
Политика конфиденциальности
Предпочтения cookie-файлов
ПОМОЩЬ
Зарегистрируйся
Центр помощи
Центр безопасности
App
Вход
Регистрация
Что ты хочешь узнать?
Спроси Mozg
Открыть лучший ответ