М
Молодежь
К
Компьютеры-и-электроника
Д
Дом-и-сад
С
Стиль-и-уход-за-собой
П
Праздники-и-традиции
Т
Транспорт
П
Путешествия
С
Семейная-жизнь
Ф
Философия-и-религия
Б
Без категории
М
Мир-работы
Х
Хобби-и-рукоделие
И
Искусство-и-развлечения
В
Взаимоотношения
З
Здоровье
К
Кулинария-и-гостеприимство
Ф
Финансы-и-бизнес
П
Питомцы-и-животные
О
Образование
О
Образование-и-коммуникации
oleshckewitchd
oleshckewitchd
29.01.2022 10:05 •  Математика

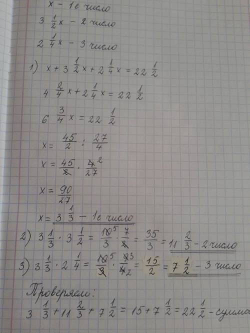
Сумма трех чисел 22 целых 1/2. найдите эти числа,если известно,что второе число в 3целых1/2раза,а третье в 2целых1/4 раза больше первого

👇
Ответ:
daria2512
daria2512
29.01.2022
См. в приложении.
---------------------------
Сумма трех чисел 22 целых 1/2. найдите эти числа,если известно,что второе число в 3целых1/2раза,а тр
4,7(96 оценок)
Ответ:
dimaandreevich
dimaandreevich
29.01.2022
X + (3 1/2)*x + (2 1/4)*x = 22 1/2
x + 7/2*x + 9/4*x = 45/2
Умножаем на 4
4x + 14x + 9x = 27x = 90
x = 90/27 = 10/3 - первое число
7/2*x = 7/2*10/3 = 35/3 - второе число
9/4*x = 9/4*10/3 = 15/2 - третье число
10/3 + 35/3 + 15/2 = 45/3 + 15/2 = 15 + 7 + 1/2 = 22 1/2 - сумма чисел.
4,4(60 оценок)
Открыть все ответы
Ответ:
xfcsfttvd
xfcsfttvd
29.01.2022
Ги рю 1000 гр поставить на одну чашу весов гирю 200 гр на другую чашу и насыпать в мешок столько крупы, чтобы весы выранялись. получиться 800 гр крупы в одном пакете. повторить это же действие со вторым пакетом. будет 2 пакета по 800 гр. 3600-(800+800)=2000 И третье взвешивание не нужно. 2 вариант. ги рю 1000 гр на одну чашу весов 200 гр. гирю на вторую, всепаем в пакет крупу, пока весы невыравнятся. получится 800 гр крупы. перестпвлем 200 гр. ги рю и пакет с крупной к 1000 гр гире. на вторую чашу ставим пакет и всыпаем крупу, пока чашы не выравнятся. в пакете 2000 гр крупы. в оставшемся пакете 3600-(800+2000)= 800
4,8(38 оценок)
Ответ:
slavuka
slavuka
29.01.2022
1. Кухня для того что бы приготовить пищу, покушать. Известно что без еды не проживешь.

2. Электрический очиститель воздуха - вытяжка, для того что бы убрать плохие запахи (горелые, запах лука, рыбы, мяса, масло при жарке и т.д)

3.  Плита, вытяжка, холодильник, чайник, стиральная машина, посудомоечная машина, духовка, микроволновка, кофеварка, соковыжималка, тостер, миксер, мясорубка, кухонный комбайн, радио, пылесос, тв, вафельница, фритюрница, мультиварка и т.д.

Ну почти все что продается в Мвидео )))
4,6(64 оценок)
Новые ответы от MOGZ: Математика
logo
Вход Регистрация
Что ты хочешь узнать?
Спроси Mozg
Открыть лучший ответ