М
Молодежь
К
Компьютеры-и-электроника
Д
Дом-и-сад
С
Стиль-и-уход-за-собой
П
Праздники-и-традиции
Т
Транспорт
П
Путешествия
С
Семейная-жизнь
Ф
Философия-и-религия
Б
Без категории
М
Мир-работы
Х
Хобби-и-рукоделие
И
Искусство-и-развлечения
В
Взаимоотношения
З
Здоровье
К
Кулинария-и-гостеприимство
Ф
Финансы-и-бизнес
П
Питомцы-и-животные
О
Образование
О
Образование-и-коммуникации
Roma200511111gnh
Roma200511111gnh
19.03.2023 12:23 •  Математика

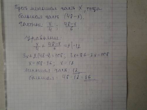
Разделите 48 на две такие части, что если меньшая разделена на 4, а большая на 6, то сумма частных будет равна 9

👇
Ответ:
Кряквочка
Кряквочка
19.03.2023
Применено линейное уравнение
Разделите 48 на две такие части, что если меньшая разделена на 4, а большая на 6, то сумма частных б
4,5(25 оценок)
Открыть все ответы
Ответ:
vikulek1
vikulek1
19.03.2023

Наименьшее общее кратное НОК (27 ; 26) = 702

Этапы решения Разложим числа на множители. Для этого проверим, является ли каждое из чисел если число то его нельзя разложить на множители, и оно само является своим разложением)

27 - составное число

26 - составное число

Разложим число 27 на множители и выделим их зелены цветом. Начинаем подбирать делитель из чисел, начиная с самого маленького числа 2, до тех пор, пока частное не окажется числом

27 : 3 = 9 - делится на число 3

9 : 3 = 3 - делится на число 3.

Завершаем деление, так как число

Разложим число 26 на множители и выделим их зелены цветом. Начинаем подбирать делитель из чисел, начиная с самого маленького числа 2, до тех пор, пока частное не окажется числом

26 : 2 = 13 - делится на число 2.

Завершаем деление, так как число

2) Прежде всего запишем множители самого большого числа, а затем меньшего числа. Найдем недостающие множители, выделим синим цветом в разложении меньшего числа множители, которые не вошли в разложение большего числа.

27 = 3 ∙ 3 ∙ 3

26 = 2 ∙ 13

3) Теперь, чтобы найти НОК нужно перемножить множители большего числа с недостающими множителями, которые выделены синим цветом

НОК Найдем все возможные кратные чисел (27 ; 26). Для этого поочередно умножим число 27 на числа от 1 до 26, число 26 на числа от 1 до 27.

Выделим все кратные числа 27 зеленым цветом:

27 ∙ 1 = 27; 27 ∙ 2 = 54; 27 ∙ 3 = 81; 27 ∙ 4 = 108;

27 ∙ 5 = 135; 27 ∙ 6 = 162; 27 ∙ 7 = 189; 27 ∙ 8 = 216;

27 ∙ 9 = 243; 27 ∙ 10 = 270; 27 ∙ 11 = 297; 27 ∙ 12 = 324;

27 ∙ 13 = 351; 27 ∙ 14 = 378; 27 ∙ 15 = 405; 27 ∙ 16 = 432;

27 ∙ 17 = 459; 27 ∙ 18 = 486; 27 ∙ 19 = 513; 27 ∙ 20 = 540;

27 ∙ 21 = 567; 27 ∙ 22 = 594; 27 ∙ 23 = 621; 27 ∙ 24 = 648;

27 ∙ 25 = 675; 27 ∙ 26 = 702;

Выделим все кратные числа 26 зеленым цветом:

26 ∙ 1 = 26; 26 ∙ 2 = 52; 26 ∙ 3 = 78; 26 ∙ 4 = 104;

26 ∙ 5 = 130; 26 ∙ 6 = 156; 26 ∙ 7 = 182; 26 ∙ 8 = 208;

26 ∙ 9 = 234; 26 ∙ 10 = 260; 26 ∙ 11 = 286; 26 ∙ 12 = 312;

26 ∙ 13 = 338; 26 ∙ 14 = 364; 26 ∙ 15 = 390; 26 ∙ 16 = 416;

26 ∙ 17 = 442; 26 ∙ 18 = 468; 26 ∙ 19 = 494; 26 ∙ 20 = 520;

26 ∙ 21 = 546; 26 ∙ 22 = 572; 26 ∙ 23 = 598; 26 ∙ 24 = 624;

26 ∙ 25 = 650; 26 ∙ 26 = 676; 26 ∙ 27 = 702;

2) Выпишем все общие кратные чисел (27 ; 26) и выделим зеленым цветом самое маленькое, это и будет наименьшим общим кратным чисел (27 ; 26).

Общие кратные чисел (27 ; 26): 702

ответ: НОК (27 ; 26) = 702

4,4(96 оценок)
Ответ:
Жека331211
Жека331211
19.03.2023

Из Москвы в 8 часов утра отправился поезд со скоростью 58 км/ч. В 11ч. утра вслед за ним отправился другой поезд со скоростью 64 км/ч. На каком

расстоянии эти поезда будут друг от друга в 3 ч. дня ?

Решение задачи поэтапно:

1 этап)Объяснение

3 часа дня значит 15 часов

2 этап)Решение

1) 15 - 8 = 7 (ч) - время в пути первого поезда;

2) 58 * 7 = 406 (км) - проедет первый поезд за 7 часов;

3) 15 - 11 = 4 (ч) - время в пути второго поезда;

4) 64 * 4 = 256 (км) - проедет второй поезд за 4 часа;

5) 406 - 256 = 150 (км) - расстояние между поездами в 3 часа дня.

Окончательный ответ: 150 км.

4,6(55 оценок)
Это интересно:
Новые ответы от MOGZ: Математика
logo
Вход Регистрация
Что ты хочешь узнать?
Спроси Mozg
Открыть лучший ответ