М
Молодежь
К
Компьютеры-и-электроника
Д
Дом-и-сад
С
Стиль-и-уход-за-собой
П
Праздники-и-традиции
Т
Транспорт
П
Путешествия
С
Семейная-жизнь
Ф
Философия-и-религия
Б
Без категории
М
Мир-работы
Х
Хобби-и-рукоделие
И
Искусство-и-развлечения
В
Взаимоотношения
З
Здоровье
К
Кулинария-и-гостеприимство
Ф
Финансы-и-бизнес
П
Питомцы-и-животные
О
Образование
О
Образование-и-коммуникации
prosto12421
prosto12421
31.01.2023 17:30 •  Математика

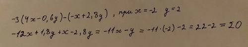
Выражения и найди его значение -3(4x-0,+2,8y) при x=-2 y= 2 реши уравнения 8с+3=-11-6с -0,9+1/2a=-4,8-4/5 -0,6-(1,5-2x)=3(-0,1-0,2x) с решением

👇
Ответ:
Сабри1111
Сабри1111
31.01.2023
Это первый ..............
Выражения и найди его значение -3(4x-0,+2,8y) при x=-2 y= 2 реши уравнения 8с+3=-11-6с -0,9+1/2a=-4,
4,8(23 оценок)
Открыть все ответы
Ответ:
WDGa5ter
WDGa5ter
31.01.2023

ПЕРВЫЙ ВАРИАНТ РЕШЕНИЯ

Пусть х км/час – скорость второго легкового автомобиля.

За 7 часов первый автомобиль проехал: 

S (расстояние) =v (скорость)*t (время)=110*7=770 км

Второй автомобиль за 7 часов проехал 7х км

Составим уравнение:

770+7х=1400

7х=1400-770

7х=630

х=90 км/час – скорость второго автомобиля.

ответ: скорость второго автомобиля составляет 90 км/ч.

ВТОРОЙ ВАРИАНТ

Пусть х км/час – скорость второго легкового автомобиля.
Общая скорость двух автомобилей составляет (х+110) км/ч.
Составим уравнение:
 v*t=S
(х+110)*7=1400
7х+770=1400
7х=630
 х=90
 ответ: скорость второго автомобиля составляет 90 км/ч.
4,8(75 оценок)
Ответ:
lerabregneva
lerabregneva
31.01.2023
голов 35;
ног 94;
кур ?
кроликов ?
Решение.
Для решения нужно знать: А) головы дают нам количество подшефных Маши, Б) куры отличаются от кроликов количеством ног (лап). У кур их 2, у кроликов 4. В)  ДВЕ ноги есть у каждого!
4 - 2 = 2 (н.)  разница в лапах между кроликом и курицей.
35 * 2 = 70  (н.)  было бы лап, если бы у Маши были ТОЛЬКО куры. (или если считаем всех с двумя ногами).
94 - 70 = 24 (н) "лишние" лапы, принадлежащие кроликам.
24 : 2 = 12 (кр.)  столько подшефных имеют по дополнительные две ноги, т.е. это КРОЛИКИ.
35 - 12 = 23 (ку.) столько кур
ответ :  у Маши 12 кроликов и 23 курицы.
Проверка:  12 *4 + 23*2 = 94;   94 = 94.
 
Как подобрать рационально? 
94 : 35 = 2 (24ост). Получается, что, в среднем, у подшефных Маши лап больше, чем две.  На 35 голов приходится 24 "лишних" лапы. Больше, чем две лапы имеют кролики,  если каждому дать еще по 2, (чтобы у них было всего 4 лапы) их хватит на только на 12 кроликов (24:2=12). Кроликов подобрали, остаток от 35 голов  - это куры : 35-12=23.(курицы)
ответ: 12 кроликов, 23 курицы.
4,6(3 оценок)
Новые ответы от MOGZ: Математика
logo
Вход Регистрация
Что ты хочешь узнать?
Спроси Mozg
Открыть лучший ответ