М
Молодежь
К
Компьютеры-и-электроника
Д
Дом-и-сад
С
Стиль-и-уход-за-собой
П
Праздники-и-традиции
Т
Транспорт
П
Путешествия
С
Семейная-жизнь
Ф
Философия-и-религия
Б
Без категории
М
Мир-работы
Х
Хобби-и-рукоделие
И
Искусство-и-развлечения
В
Взаимоотношения
З
Здоровье
К
Кулинария-и-гостеприимство
Ф
Финансы-и-бизнес
П
Питомцы-и-животные
О
Образование
О
Образование-и-коммуникации
Anastasia888888
Anastasia888888
05.04.2022 20:12 •  Математика

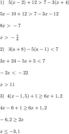
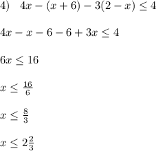
Решите неравенства а)5(x-2)+12> 7-3(x+4) b)3(a+8)-5(a-1)< 7 c)4(x-1.5)+1≥6x+1.2 d)4x-(x+6)_3(2-x)≤4

👇
Ответ:
пушокс
пушокс
05.04.2022
1)\; \; \; 5(x-2)+12\ \textgreater \ 7-3(x+4)\\\\5x-10+12\ \textgreater \ 7-3x-12\\\\8x\ \textgreater \ -7\\\\x\ \textgreater \ -\frac{7}{8}\\\\2)\; \; \; 3(a+8)-5(a-1)\ \textless \ 7\\\\3x+24-5x+5\ \textless \ 7\\\\-2x\ \textless \ -22\\\\x\ \textgreater \ 11\\\\3)\; \; 4(x-1,5)+1 \geq 6x+1,2\\\\4x-6+1 \geq 6x+1,2\\\\ -6,2\geq 2x\\\\x \leq -3,1

4)\; \; \; 4x-(x+6)-3(2-x) \leq 4\\\\4x-x-6-6+3x \leq 4\\\\6x \leq 16\\\\x \leq \frac{16}{6}\\\\x \leq \frac{8}{3}\\\\x \leq 2\frac{2}{3}
4,7(73 оценок)
Ответ:
semak03
semak03
05.04.2022
1) 5х-10+12>7-3х-12
    8х>-7
    х>-0.875 или 7 восьмых
2) 3a+24-5a+5<7
    -2a<-26
    a<13
3) 4x-6+1>6x+1.2
    -2x>6.2
     x>-3.1
4)  4x-x-6-6+3x<4
     6x<16
     x<2 целых двух третьих
4,6(90 оценок)
Открыть все ответы
Ответ:
govnyaskaguly
govnyaskaguly
05.04.2022
Si j'étais un directeur d'école, je l'aurais fait dans notre piscine de l'école. Circuit fermé. Pour les élèves de la classe de gymnastique nageait. J'aurais quand même fait la réunion, "les lumières de" un à qui nibu
Перевод:
Если бы я был директором школы, то я сделал бы у нас в школе бассейн. Закрытый, конечно. Чтобы у учеников на физкультуре было плаванье. Ещё я бы устроил встречи выпускников “Корифея” в один какой-нибудь день. Ещё я бы сделал 10- шкалу оценок. Иногда учителя не знают, что поставить ученику: 4 или 5? (годовая оценка) Количество 4-ок и 5-ок у него одинаковое, так что ему поставить? 9-ку! По 10- шкале ставить оценку легче. Можно было бы ещё сделать несколько дополнительных кружков: фехтование, балет, шитьё, плаванье (благодаря бассейну!) , скорочтение… Мне кажется, с этим наша школа станет лучше.
4,8(43 оценок)
Ответ:
migmo5
migmo5
05.04.2022
Si j'étais un directeur d'école, je l'aurais fait dans notre piscine de l'école. Circuit fermé. Pour les élèves de la classe de gymnastique nageait. J'aurais quand même fait la réunion, "les lumières de" un à qui nibu
Перевод:
Если бы я был директором школы, то я сделал бы у нас в школе бассейн. Закрытый, конечно. Чтобы у учеников на физкультуре было плаванье. Ещё я бы устроил встречи выпускников “Корифея” в один какой-нибудь день. Ещё я бы сделал 10- шкалу оценок. Иногда учителя не знают, что поставить ученику: 4 или 5? (годовая оценка) Количество 4-ок и 5-ок у него одинаковое, так что ему поставить? 9-ку! По 10- шкале ставить оценку легче. Можно было бы ещё сделать несколько дополнительных кружков: фехтование, балет, шитьё, плаванье (благодаря бассейну!) , скорочтение… Мне кажется, с этим наша школа станет лучше.
4,7(27 оценок)
Это интересно:
Новые ответы от MOGZ: Математика
logo
Вход Регистрация
Что ты хочешь узнать?
Спроси Mozg
Открыть лучший ответ