М
Молодежь
К
Компьютеры-и-электроника
Д
Дом-и-сад
С
Стиль-и-уход-за-собой
П
Праздники-и-традиции
Т
Транспорт
П
Путешествия
С
Семейная-жизнь
Ф
Философия-и-религия
Б
Без категории
М
Мир-работы
Х
Хобби-и-рукоделие
И
Искусство-и-развлечения
В
Взаимоотношения
З
Здоровье
К
Кулинария-и-гостеприимство
Ф
Финансы-и-бизнес
П
Питомцы-и-животные
О
Образование
О
Образование-и-коммуникации
322fase322
322fase322
13.11.2022 02:51 •  Математика

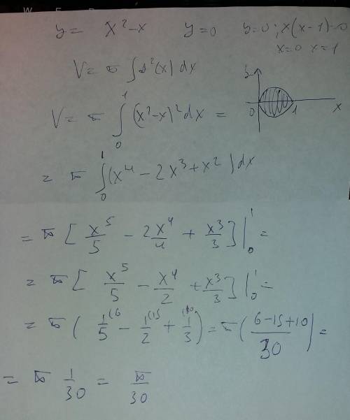
Найдите обьем тела,ограниченного вращением вокруг оси ox плоской фигуры ,ограниченной линиями y=(x-1)x , y=0 . высшая ,если можно, то с фото

👇
Ответ:
rostislav2017
rostislav2017
13.11.2022

Пошаговое объяснение:


Найдите обьем тела,ограниченного вращением вокруг оси ox плоской фигуры ,ограниченной линиями y=(x-1
4,7(82 оценок)
Открыть все ответы
Ответ:
натали19852
натали19852
13.11.2022

войти

января 21: 11

в первый день тракторная бригада вспахала 3/8 участка , во второй день - 2/5 остатка, а в третий день - остальные 216га.определите

площадь участка.

ответ или решение1

горшков мстислав

1) примем за 1 (единицу) площадь всего участка и узнаем, какую часть составляет участок, который остался после первого дня работы: 1 – 3/8 = 5/8;

2) вычислим, какую часть участка составляет площадь, вспаханная во второй день: 5/8 · 2/5 = 1/4;

3) определим, какую часть площади вспахали в третий день: 5/8 – 1/4 = 3/8;

4) зная, что 3/8 часть от всей площади участка – это 216 га, узнаем, чему равна площадь этого участка: 216 : 3/8 = 216 · 8 : 3 = 576 (га).

ответ: площадь участка – 576 га.

4,7(72 оценок)
Ответ:
Anna191203
Anna191203
13.11.2022
Когда я слышу слова - "люблю тебя, мой край родной", я вспоминаю моменты из своей маленькой жизни: я еду на машине по просторам моего краснодарского края и не перестаю удивляться на сколько богата моя родная земля.северная часть, где расстилаются необозримые просторы степей и южную – зону предгорий и гор.  черноморское побережье края протянулось узкой полосой от керченского пролива до адлера, и когда я въезжаю в город темрюк и вижу военную горку, моё сердце наполняется любовью и гордостью, потому что мой прадед – выпускник военно- морского училища, на торпедном катере г-5, защищал мой край, мою родину. моя семья чтит память о людях, которые смогли ценой своей жизни, дать мне ту возможность любить и гордиться своей родной землей, своими корнями, которые родились и выросли, как и я на этой богом данной земле.       краснодарский край в народе называют кубанью, по названию реки, которая берет начало с кавказских гор и впадает в азовское море, которое мелкое    и пресное, но богато осетровыми, таранью, судаком и рыбцом. на побережьях азовского и черного морей построено много здравниц  для отдыха детей из всей россии, так как климат в крае умеренно континентальный, и много солнечных дней и морского воздуха, что так необходимо для жизни и здоровья детей. а ещё на тамани построен хуторок, где я видел, как жили и трудились мои предки, обычаи и нравы запорожских и кубанских казаков, которые жили и живут, и в наше время охраняют границы моей страны.        кубани неисчерпаема. в годы великой отечественной войны кубань вновь была местом сражений и её защитники, как и в старину опять отстояли и покрыли себя неувядаемой славой.        кубань все знают как житницу россии. её благодатная земля дает самые богатые урожаи пшеницы, риса, кукурузы, а недра богаты нефтью и газом.        сколько интересных туристических маршрутов в краснодарском крае. я поражаюсь дольменами, которые древнее египетских пирамид, гуамским  ущельем с горными реками, лого – наки.        совсем неудивительно, что олимпийские зимние игры 2014 года будут проходить в городе сочи на красной поляне нашей солнечной и теплой кубани.        я счастлив, что миллионы людей со всех уголков земли смогут увидеть и по достоинству оценить мой любимый краснодарский край и конечно людей, разных национальностей, но живущих в уважении друг к другу, потому что ценят ту землю, которая дает им силы, терпение и трудолюбие, чтобы добиваться успехов во всех их делах и быть духовно и развитыми и мудрыми, чтобы сохранить то, что досталось нам по наследству от наших предков.         я понимаю, что любить это большая ответственность, поэтому я хочу вырасти, выучиться, многого добиться, что бы быть полезным и достойным гражданином своего любимого, родного краснодарского края.
4,7(64 оценок)
Это интересно:
Новые ответы от MOGZ: Математика
logo
Вход Регистрация
Что ты хочешь узнать?
Спроси Mozg
Открыть лучший ответ