М
Молодежь
К
Компьютеры-и-электроника
Д
Дом-и-сад
С
Стиль-и-уход-за-собой
П
Праздники-и-традиции
Т
Транспорт
П
Путешествия
С
Семейная-жизнь
Ф
Философия-и-религия
Б
Без категории
М
Мир-работы
Х
Хобби-и-рукоделие
И
Искусство-и-развлечения
В
Взаимоотношения
З
Здоровье
К
Кулинария-и-гостеприимство
Ф
Финансы-и-бизнес
П
Питомцы-и-животные
О
Образование
О
Образование-и-коммуникации
Sarzhanovaperuza
Sarzhanovaperuza
20.04.2021 04:31 •  Математика

Вычислить объем шара радиусом 30см. )

👇
Ответ:
anat1
anat1
20.04.2021

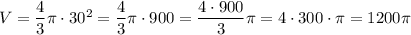
Объём шара вычисляется по формуле:

V=\dfrac{4}{3}\pi R^2

Подставляем значения:

V=\dfrac{4}{3}\pi \cdot30^2=\dfrac{4}{3}\pi \cdot900=\dfrac{4\cdot900}{3}\pi=4\cdot300\cdot \pi=1200\pi

ответ:  1200π

4,7(17 оценок)
Открыть все ответы
Ответ:
айдын23
айдын23
20.04.2021
Твір на тему “Права людини”

Кожна людина від нарождення має природні права. Всі вони закріплені в Декларації прав людини, яка прийнята міжнародним товариством. Дивно, але людству знадобилися століття, щоб зрозуміти власні права та утвердити їх. Вони ж такі прості та ясні! І якщо всі люди будуть поважати свої та чужі права, на Землі значно поменшає горя, сліз та кривди.

Першим і головним правом людини є її право на життя. Людське існування має бути священним для всіх. Також кожен має право не просто прожити своє життя, але прожити гідно. Щоб ніхто інший не принижував особистість, ані морально, ані фізично. Не бив, не залякував, не примушував до чогось. Людина має право на власну гідність та волю. І тому вона має право вільно обирати: де вчитися, де працювати, кого кохати.

Також кожному дається право на приватну власність та таємницю праватного життя. Така вже людська природа, що всі ми бажаємо мати щось своє: будинок, автомобіль тощо. Ніхто не має права відбирати це в нас.

Охороняти права людини має держава та її закони. Але людям часто доводиться боронити себе саме від держави та її керівників. Ще сімдесят років тому в нашій країні розстрілювали хлопців, які не хотіли служити в армії. В той же час у Європі деяким слабким на здоров'я жінкам забороняли народжувати дітей задля “чистоти нації”.

Дуже добре, що ці часи минули, людство стало більш свідомим. Але не можна сказати, що права людини дотримуються добре, і в нашій країні теж. Для багатих та владних громадян права немовби ширші, а для простого народу — вужчі.

Особисто я вважаю, що кожен з нас має сам стежити, чи не порушуються його права та свободи. А також, і це головне - поважати права інших, не менше, ніж власні. Тоді вже сама держава зможе називатися правовою.

Оригинал http://ycilka.net/tvir.php?id=86#ixzz4M85AVvND
4,7(50 оценок)
Ответ:
nika0494
nika0494
20.04.2021
Твір на тему “Права людини”

Кожна людина від нарождення має природні права. Всі вони закріплені в Декларації прав людини, яка прийнята міжнародним товариством. Дивно, але людству знадобилися століття, щоб зрозуміти власні права та утвердити їх. Вони ж такі прості та ясні! І якщо всі люди будуть поважати свої та чужі права, на Землі значно поменшає горя, сліз та кривди.

Першим і головним правом людини є її право на життя. Людське існування має бути священним для всіх. Також кожен має право не просто прожити своє життя, але прожити гідно. Щоб ніхто інший не принижував особистість, ані морально, ані фізично. Не бив, не залякував, не примушував до чогось. Людина має право на власну гідність та волю. І тому вона має право вільно обирати: де вчитися, де працювати, кого кохати.

Також кожному дається право на приватну власність та таємницю праватного життя. Така вже людська природа, що всі ми бажаємо мати щось своє: будинок, автомобіль тощо. Ніхто не має права відбирати це в нас.

Охороняти права людини має держава та її закони. Але людям часто доводиться боронити себе саме від держави та її керівників. Ще сімдесят років тому в нашій країні розстрілювали хлопців, які не хотіли служити в армії. В той же час у Європі деяким слабким на здоров'я жінкам забороняли народжувати дітей задля “чистоти нації”.

Дуже добре, що ці часи минули, людство стало більш свідомим. Але не можна сказати, що права людини дотримуються добре, і в нашій країні теж. Для багатих та владних громадян права немовби ширші, а для простого народу — вужчі.

Особисто я вважаю, що кожен з нас має сам стежити, чи не порушуються його права та свободи. А також, і це головне - поважати права інших, не менше, ніж власні. Тоді вже сама держава зможе називатися правовою.

Оригинал http://ycilka.net/tvir.php?id=86#ixzz4M85AVvND
4,4(79 оценок)
Это интересно:
Новые ответы от MOGZ: Математика
logo
Вход Регистрация
Что ты хочешь узнать?
Спроси Mozg
Открыть лучший ответ