М
Молодежь
К
Компьютеры-и-электроника
Д
Дом-и-сад
С
Стиль-и-уход-за-собой
П
Праздники-и-традиции
Т
Транспорт
П
Путешествия
С
Семейная-жизнь
Ф
Философия-и-религия
Б
Без категории
М
Мир-работы
Х
Хобби-и-рукоделие
И
Искусство-и-развлечения
В
Взаимоотношения
З
Здоровье
К
Кулинария-и-гостеприимство
Ф
Финансы-и-бизнес
П
Питомцы-и-животные
О
Образование
О
Образование-и-коммуникации
terckovanata
terckovanata
22.09.2021 18:55 •  Математика

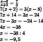
Дроби : x-8/х+2=7/3 и 4/х-1.2=15/х-10 6ой класс

👇
Ответ:
marinamih
marinamih
22.09.2021
.............................................
Дроби : x-8/х+2=7/3 и 4/х-1.2=15/х-10 6ой класс
4,4(47 оценок)
Открыть все ответы
Ответ:
ebotalov
ebotalov
22.09.2021
В 3-ем пакете - х мандаринов,
во 2-ом пакете  -  (х +8) мандаринов,
в 1-ом пакете -  2(х + 8) = (2х +16) мандаринов
Составим уравнение:
х + х + 8 + 2х + 16 = 136
4х = 136 - 8 - 16
4х = 112
х = 28    мандаринов было в 3-ем пакете
х + 8 = 28 + 8 = 36    мандаринов было во 2-ом пакете
2х + 16 = 56 +16 = 72  мандарина было в 1-ом пакете
Стоимость 1-ого пакета = 3 х 72 = 216 (рублей)
Стоимость 3-его пакета = 5 х 28 = 140 (рублей)
Стоимость всех перемешанных мандаринов = 136 х 4 = 544 (рубля);
544 - 216 - 140 = 188 ( руб) - стоимость 2-ого пакета;
188 : 36 = 5, 22 (рубля)  -  стоимость одного мандарина во 2-ом пакете.
4,8(26 оценок)
Ответ:
sanny2
sanny2
22.09.2021
Овощи характерны содержанием большого количества минеральных веществ и витаминов, в них много органических кислот и эфирных масел, возбуждающих аппетит и пищеварению. Значительное количество овощей едят в свежем виде. Но так же их можно подвергать какой-либо обработке - солить, тушить, мариновать, даже варить варенье, как, например, из красных помидоров, моркови и т. д. Трудно представить стол без овощей. Многие стараются использовать в пищу не только культурные овощные растения, которые можно вырастить на огороде, садовом участке, даже на окне или балконе, но и так называемые дикорастущие - ревень, одуванчик, аир, щавель, борщевик и многие другие. Они разнообразить рацион, обогатить пищу витаминами, микроэлементами и другими нужными веществами. Овощи, самые разнообразные и в любом виде, должны быть на нашем столе каждый день и по возможности круглый год, независимо от сезона. 
4,5(48 оценок)
Новые ответы от MOGZ: Математика
logo
Вход Регистрация
Что ты хочешь узнать?
Спроси Mozg
Открыть лучший ответ