М
Молодежь
К
Компьютеры-и-электроника
Д
Дом-и-сад
С
Стиль-и-уход-за-собой
П
Праздники-и-традиции
Т
Транспорт
П
Путешествия
С
Семейная-жизнь
Ф
Философия-и-религия
Б
Без категории
М
Мир-работы
Х
Хобби-и-рукоделие
И
Искусство-и-развлечения
В
Взаимоотношения
З
Здоровье
К
Кулинария-и-гостеприимство
Ф
Финансы-и-бизнес
П
Питомцы-и-животные
О
Образование
О
Образование-и-коммуникации
ilona10022002
ilona10022002
28.11.2020 22:43 •  Математика

3-x=8x+30 help 0,5(x-1)=2,3+0,1(x=4)

👇
Ответ:
hupri05
hupri05
28.11.2020
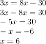
3x = 8x + 30 \\ 3x - 8x = 30 \\ - 5x = 30 \\ - x = - 6 \\ x = 6
4,6(35 оценок)
Открыть все ответы
Ответ:
olegkashpurozzi7v
olegkashpurozzi7v
28.11.2020
20 к ? руб, но не хват. 3руб;
15 к ? руб, но ост. 7 руб..
1 к ? руб..
Решение.
А Р И Ф М Е Т И Ч Е С К И Й С П О С О Б.
20 - 15 = 5 (к.) разница в конфетах;
7 + 3 = 10 (руб.) нужно денег на 5 конфет;
10 : 5 = 2 (руб.) стоит одна конфета.
ответ: 2 рубля стоит одна конфета
Проверка: 15*2+7=20*2-3; 37=37 (это сумма денег Славы!)
А Л Г Е Б Р А И Ч Е С К И Й С П ОС О Б.
Х руб. стоит одна конфета;
15Х руб. --- стоят 15 конфет;
(15Х + 7) руб. --- деньги Славы, если он купит 15 конфет;
20 Х руб. стоят 20 конфет;
(20Х - 3) руб. --- деньги Славы, если он хочет купить 20 конфет:
20Х - 3 = 15Х + 7 так как речь об одних и тех же деньгах;
20Х - 15Х = 7 + 3; 5Х = 10; Х = 2 (руб).
ответ: 2 рубля стоит конфета.
4,8(18 оценок)
Ответ:
Anymarspop
Anymarspop
28.11.2020
20 к ? руб, но не хват. 3руб;
15 к ? руб, но ост. 7 руб..
1 к ? руб..
Решение.
А Р И Ф М Е Т И Ч Е С К И Й  С П О С О Б.
20 - 15 = 5 (к.) разница в конфетах;
7 + 3 = 10 (руб.) нужно денег на 5 конфет;
10 : 5 = 2 (руб.)  стоит одна конфета.
ответ: 2 рубля стоит одна конфета
Проверка: 15*2+7=20*2-3; 37=37 (это сумма денег Славы!)
А Л Г Е Б Р А И Ч Е С К И Й   С П ОС О Б.
Х руб. стоит одна конфета;
15Х руб. --- стоят 15 конфет;
(15Х + 7) руб. --- деньги Славы, если он купит 15 конфет;
20 Х руб. стоят 20 конфет;
(20Х - 3) руб. --- деньги Славы, если он хочет купить 20 конфет:
20Х - 3 = 15Х + 7 так как речь об одних и тех же деньгах;
20Х - 15Х = 7 + 3; 5Х = 10;  Х = 2 (руб).
ответ: 2 рубля стоит конфета.
4,8(12 оценок)
Это интересно:
Новые ответы от MOGZ: Математика
logo
Вход Регистрация
Что ты хочешь узнать?
Спроси Mozg
Открыть лучший ответ