М
Молодежь
К
Компьютеры-и-электроника
Д
Дом-и-сад
С
Стиль-и-уход-за-собой
П
Праздники-и-традиции
Т
Транспорт
П
Путешествия
С
Семейная-жизнь
Ф
Философия-и-религия
Б
Без категории
М
Мир-работы
Х
Хобби-и-рукоделие
И
Искусство-и-развлечения
В
Взаимоотношения
З
Здоровье
К
Кулинария-и-гостеприимство
Ф
Финансы-и-бизнес
П
Питомцы-и-животные
О
Образование
О
Образование-и-коммуникации
emin19
emin19
15.06.2021 11:15 •  Математика

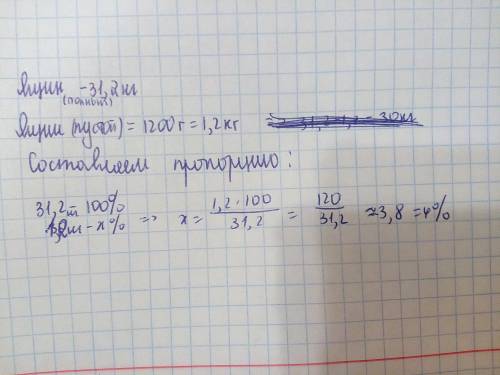
Вес ящика полного яблок 31.2 кг, веч пустого ящика 1200г.сколько процентов от веса яблок состовляет вес ящика а)0.04% в)0.4% с)4% д)0.004%

👇
Ответ:
bogdanserebria
bogdanserebria
15.06.2021
Вот
Вес ящика полного яблок 31.2 кг, веч пустого ящика 1200г.сколько процентов от веса яблок состовляет
4,5(55 оценок)
Открыть все ответы
Ответ:
lerakuznyak
lerakuznyak
15.06.2021

Задача 1

х - доход населения до 1 кв.

р - процент изменения дохода за два квартала

х(1+5/100)(1+6/100)=х(1+р/100), сократим обе части ур-я на х

1,05*1,06=(100+р)/100, умножим обе части ур-я на 100

111,3=100+р

р=111,3-100

р=11,3%

ответ: доходы населения за два квартала увеличились на 11,3%

Задача 2

Пусть х - объем продукции, выпущенный в поза году. Тогда объем продукции, выпущенной в прощлом году, составляет х(1-20/100), а в текущем году х(1-20/100)(1+5/100). Обозначим общий процент изменения за р и составим уравнение:

х(1-20/100)(1+5/100)=х(1+р/100)

х(0,8*1,05)=х((100+р)/100), сократим обе части ур-я на х, получим:

0,84=(100+р)/100, умножим обе части ур-я на 100:

84=100+р

р=-16%, следовательно выпуск продукции за 2 года снизился на 16%

 

4,4(86 оценок)
Ответ:
Kiska41384
Kiska41384
15.06.2021
1) х - доход населения до 1 кв.
    р - процент изменения дохода за два квартала
   х(1+5/100)(1+6/100)=х(1+р/100), сократим обе части ур-я на х
   1,05*1,06=(100+р)/100, умножим обе части ур-я на 100
   111,3=100+р
   р=111,3-100
   р=11,3%
  ответ: доходы населения за два квартала увеличились на 11,3%
2) Пусть х -объем продукции, выпущенный в поза году. Тогда объем продукции. выпущенной в году составляет х(1-20/100). А в текущем году х(1-20/100)*(1+5/100). бозначим общий  процент изменения за q и составим уравнение.
х(1-20/100)*(1+5/100)=х (1+q/100)
х(0,8*1,05)=х((100+q)/100), сократим обе части уравнения на х и получим
0,84=(100+q)/100, умножим обе части уравнения на 100
84=100+q
q=16%, тогда выпуск продукции за 2 года снизился на 16%.
4,5(33 оценок)
Это интересно:
Новые ответы от MOGZ: Математика
logo
Вход Регистрация
Что ты хочешь узнать?
Спроси Mozg
Открыть лучший ответ