М
Молодежь
К
Компьютеры-и-электроника
Д
Дом-и-сад
С
Стиль-и-уход-за-собой
П
Праздники-и-традиции
Т
Транспорт
П
Путешествия
С
Семейная-жизнь
Ф
Философия-и-религия
Б
Без категории
М
Мир-работы
Х
Хобби-и-рукоделие
И
Искусство-и-развлечения
В
Взаимоотношения
З
Здоровье
К
Кулинария-и-гостеприимство
Ф
Финансы-и-бизнес
П
Питомцы-и-животные
О
Образование
О
Образование-и-коммуникации
Yulia2107
Yulia2107
10.10.2022 05:34 •  Математика

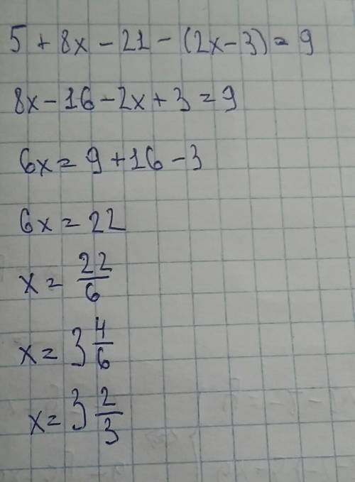
Решить уравнение подробными вычислениями: 5 + 8х – 21 – (2х – 3) = 9

👇
Ответ:
112811281128
112811281128
10.10.2022
.......................
Решить уравнение подробными вычислениями: 5 + 8х – 21 – (2х – 3) = 9
4,5(99 оценок)
Открыть все ответы
Ответ:
kozakova13
kozakova13
10.10.2022
1-0,5х< 4-х                                                                                                   1-4< 0,5х-х                                                                                                     -3< -0,5х                                                                                                       -3: -0,5< х                                                                                                       6< х                                                                                                                                                                                                                                                                                                                           
4,7(7 оценок)
Ответ:
1Kolomiets1
1Kolomiets1
10.10.2022
Shestiygolnik sostoit iz shesti ravnostoronnikh treygolnikov, clojennykh obshey vershinoj k etot tsentr i yavlyaetsya tsentrom i vpisannoy, i opisannoy dla opisannoy okryjnosti = radiusami yavlyajutsya storony etikh treudolnikov = znachit, r = 15 cm. dlya vpisannoj okryjnosti = radiusami yavyajutsya vysoty treygolnikov - te vysoty, chto opyshcheny iz tsentra na storonjy visota v ravnostoronnem treugolnike ravna (sqr3)/2 = koren iz trekh razdelit na ili priblizitelno 0.866 ot itogo: r = 15 cm * 0.866 = 13 cm  
4,4(54 оценок)
Это интересно:
Новые ответы от MOGZ: Математика
logo
Вход Регистрация
Что ты хочешь узнать?
Спроси Mozg
Открыть лучший ответ