М
Молодежь
К
Компьютеры-и-электроника
Д
Дом-и-сад
С
Стиль-и-уход-за-собой
П
Праздники-и-традиции
Т
Транспорт
П
Путешествия
С
Семейная-жизнь
Ф
Философия-и-религия
Б
Без категории
М
Мир-работы
Х
Хобби-и-рукоделие
И
Искусство-и-развлечения
В
Взаимоотношения
З
Здоровье
К
Кулинария-и-гостеприимство
Ф
Финансы-и-бизнес
П
Питомцы-и-животные
О
Образование
О
Образование-и-коммуникации
Нонэйм2
Нонэйм2
11.03.2021 03:58 •  Математика

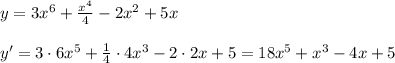
F(x)=3x^6 + x^4/4 - 2x^2 + 5x найти производную функции

👇
Ответ:
goldfox1
goldfox1
11.03.2021
y=3x^6+ \frac{x^4}{4}-2x^2+5x\\\\y'=3\cdot 6x^5+\frac{1}{4}\cdot 4x^3-2\cdot 2x+5=18x^5+x^3-4x+5
4,7(16 оценок)
Открыть все ответы
Ответ:
marselk2
marselk2
11.03.2021
Во время Великой Отечественной войны против гитлеровских оккупантов действовала целая армия мальчишек и девчонок. Только в оккупированной Белоруссии не менее 74500 мальчишек и девчонок, юношей и девушек воевали в партизанских отрядах. В Большой Советской Энциклопедии написано, что в годы Великой Отечественной войны более 35 тыс. пионеров – юных защитников Родины - было награждено боевыми орденами и медалями. Это было поразительное «движение»! Мальчишки и девчонки не дожидались, пока их «призовут» взрослые, – начали действовать с первых дней оккупации. Рисковали смертельно! Так же и многие другие начинали действовать на свой страх и риск. Кто-то находил разбросанные с самолетов листовки и распространял их в своем райцентре или деревне. Полоцкий мальчишка Леня Косач собрал на местах сражений 45 винтовок, 2 ручных пулемета, несколько корзин патронов и гранат и надежно спрятал все это; представился случай – передал партизанам. Таким же образом создавали для партизан арсеналы и сотни других ребят. Двенадцатилетняя отличница Люба Морозова, немного зная немецкий, занималась «спецпропагандой» среди врагов, рассказывая им, как ей хорошо жилось до войны без «нового порядка» оккупантов. Солдаты нередко говорили ей, что она «красная до костей», и советовали попридержать язык, пока это для нее не закончилось плохо. Позже Люба стала партизанкой. Одиннадцатилетний Толя Корнеев выкрал у немецкого офицера пистолет с патронами и стал искать людей, которые бы ему выйти на партизан. Летом 1942 года мальчик преуспел в этом, встретив свою одноклассницу Олю Демеш, которая к тому времени уже была членом одного из отрядов. А когда в отряд старшие ребята привели 9-летнего Жору Юзова, и командир в шутку спросил: «А этого малого кто будет нянчить?», мальчишка, помимо пистолета, выложил перед ним четыре гранаты: «Вот кто меня будет нянчить!». Сережа Росленко 13 лет помимо собирания оружия на свой страх и риск вел разведку: найдется, кому передать сведения! И нашел. Откуда-то у детей появлялось и понятие о конспирации. Шестиклассник Витя Пашкевич осенью 1941 года организует в оккупированном фашистами Борисове подобие краснодонской «Молодой гвардии». Он и его команда выносили с вражеских складов оружие и боеприпасы устраивать подпольщикам побеги военнопленных из концлагерей, термитными зажигательными гранатами сожгли вражеский склад с обмундированием…
4,4(49 оценок)
Ответ:
Mokysya
Mokysya
11.03.2021
проверте слова так как я писал быстро и мгг допустить ошибки .Я летел в Тайланд на самолёте Боинг. Но вдруг у самолёта отказал двигатель. все стали паниковать. После падения самолёта я чудом выжил. Сначала я начал строить себе убежище из веток и листьев. Потом я начал добывать еду. по немного становилось тёмно и холодно. Но я лёг спать на порваные тряпки. на утро я покушал молока из кокоса. вдруг я услышал звук лопастей вертолёта. я выбежал из убежища и стал их окликать. они меня заметили и скинули мне лестницу. после эвакуации я лежал неделю в больнице. после того как меня выпустили мне заказали такси и отвезли домой. когда я позвонил в дверь мама и папа удивились как я выжил я рассказал им всю историю проверьте некоторые слова так как я писал быстро и мог допустить ошибки. Удачи в школе и в учёбе!
4,6(41 оценок)
Это интересно:
Новые ответы от MOGZ: Математика
logo
Вход Регистрация
Что ты хочешь узнать?
Спроси Mozg
Открыть лучший ответ