М
Молодежь
К
Компьютеры-и-электроника
Д
Дом-и-сад
С
Стиль-и-уход-за-собой
П
Праздники-и-традиции
Т
Транспорт
П
Путешествия
С
Семейная-жизнь
Ф
Философия-и-религия
Б
Без категории
М
Мир-работы
Х
Хобби-и-рукоделие
И
Искусство-и-развлечения
В
Взаимоотношения
З
Здоровье
К
Кулинария-и-гостеприимство
Ф
Финансы-и-бизнес
П
Питомцы-и-животные
О
Образование
О
Образование-и-коммуникации
ermekbaevadinara
ermekbaevadinara
14.07.2020 02:15 •  Математика

Решите уравнение 4,3*(15х-2х)=11,18 заранее : -)

👇
Ответ:
GlennRee
GlennRee
14.07.2020
Вот, спрашивай, если непонятно
Решите уравнение 4,3*(15х-2х)=11,18 заранее : -)
4,4(20 оценок)
Ответ:
alenasen12345
alenasen12345
14.07.2020
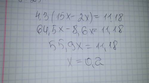
4,3*(15х-2х)=11,18
64.5x-8.6x=11.18
55.9x=11.18
x= 11.18: 55.9
x=0.2
4,5(44 оценок)
Открыть все ответы
Ответ:
Задачи на нахождение расстояния, времени и скорости
Задача №1
Самолет пролетел 4680 км за 6 часов.С какой скоростью летел самолет?
Дано:
S=4680 км
t=6 ч
Найти: v=? км/ч
Решение
S(расстояние)=v(скорость)×t(время)
Отсюда v=S÷t=4680÷6= 780 (км/ч)
ответ: скорость самолета равна 780 км/час

Задача №2
Во время похода на Северный полюс лыжники км. Сколько времени они шли на лыжах, если их скорость во время переходов была 4км/ч?
Дано:
S=964 км
v=4 км/ч
Найти: t=?ч
Решение
S(расстояние)=v(скорость)×t(время)
Отсюда t=S÷v=964÷4=241 (часов)
ответ: горнолыжники были в пути 241 час
4,4(80 оценок)
Ответ:
BandiMatrix
BandiMatrix
14.07.2020
Задачи на нахождение расстояния, времени и скорости
Задача №1
Самолет пролетел 4680 км за 6 часов.С какой скоростью летел самолет?
Дано:
S=4680 км
t=6 ч
Найти: v=? км/ч
Решение
S(расстояние)=v(скорость)×t(время)
Отсюда v=S÷t=4680÷6= 780 (км/ч)
ответ: скорость самолета равна 780 км/час

Задача №2
Во время похода на Северный полюс лыжники км. Сколько времени они шли на лыжах, если их скорость во время переходов была 4км/ч?
Дано:
S=964 км
v=4 км/ч
Найти: t=?ч
Решение
S(расстояние)=v(скорость)×t(время)
Отсюда t=S÷v=964÷4=241 (часов)
ответ: горнолыжники были в пути 241 час
4,7(9 оценок)
Это интересно:
Новые ответы от MOGZ: Математика
logo
Вход Регистрация
Что ты хочешь узнать?
Спроси Mozg
Открыть лучший ответ