Вход
Регистрация
Спроси Mozg AI
М
Молодежь
К
Компьютеры-и-электроника
Д
Дом-и-сад
С
Стиль-и-уход-за-собой
П
Праздники-и-традиции
Т
Транспорт
П
Путешествия
С
Семейная-жизнь
Ф
Философия-и-религия
Б
Без категории
М
Мир-работы
Х
Хобби-и-рукоделие
И
Искусство-и-развлечения
В
Взаимоотношения
З
Здоровье
К
Кулинария-и-гостеприимство
Ф
Финансы-и-бизнес
П
Питомцы-и-животные
О
Образование
О
Образование-и-коммуникации
.....больше.....
..меньше..
Irynadv
19.12.2021 14:26 •
Математика
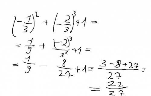
Вычислите (-1/3)в квадрате + (-2/3) в кубе + 1
👇
Увидеть ответ
Ответ:
20тимоха18
19.12.2021
Решение в фото.Решение в фото.Решение в фото.
4,6
(38 оценок)
Открыть все ответы
Ответ:
VASEK191911
19.12.2021
60*(1176+x)=94200 60x+70560=94200 60x=94200-70560 60x=23640 x=23640/60 x=394
4,7
(4 оценок)
Ответ:
Антонggez
19.12.2021
1) 4(8+7х) –10х=8
32+28х-10х=8
28х-10х=8-32
8х=-24
х=-3
2) –2(–4+7х) +8х=3
8-14х+8х=3
-14х+8х=3-8
-6х=-5
х=1,2
3) 5х+3(–1–х) =–8х–8
5х-3-3х=-8х-8
5х-3х+8х=-8+3
10х=-5
х=-0,5
4) 3х–6(1+х) =–9х+9
3х-6-6х=-9х+9
3х-6х+9х=9+6
6х=15
х=2,5
5) –3х+5(–9+4х) =–х–4
-3х-45+20х=-х-4
-3х+20х+х=-4+45
18х=41
х=41/18
6) –6х–4(9–7х) =–5х+1
-6х-36+28х=-5х+1
-6х+28х+5х=1+36
27х=37
х=37/27
7)Х2–х–6=0
Д=1-4*(-6)=1+24=25
х1=1-5/2=-2
х2=1+5/2=3
8) Х2+3х=4
х2+3х-4=0
Д=9-4*(-4)=9+16=25
х1=-3-5/2=-4
х2=-3+5/2=1
9) Х2=2х+8
х2-2х-8=0
Д=4-4*(-8)=4+32=36
х1=2-6/2=-2
х2=2+6/2=4
10) Х–х/3=1/2
6х-2х=3
4х=3
х=0,75
11) Х+х/3=8
3х+х=24
4х=24
х=6
12) Х/2+х/4=–3/2
2х+х=-6
3х=-6
х=-2
13) 3/х+8=–7
3+8х=-7х
8х+7х=-3
15х=-3
х=-0,2
14) 3/х–8+8/х–3=2
3-8х+8-3х=2х
-8х-3х-2х=-3-8
-13х=-11
х=11/13
15) 3/х–4=4/х–3
3-4х=4-3х
-4х+3х=4-3
-х=1
х=-1
16) Х–2/х–3=2
х2-2-3х=2х
х2-3х-2х-2=0
х2-5х-2=0
Д=25-4*(-2)=25+8=31
х1,2=5+-31(в корне) /2
17) Х–2/х–1=2/3
3х2-6-3х=2х
3х2-3х-2х-6=0
3х2-5х-6=0
Д=25-4*3*(-6)=25+72=97
х1,2=5+-97 (в корне) /6
4,6
(7 оценок)
Это интересно:
К
Кулинария-и-гостеприимство
29.07.2020
Приготовление вкусного и ароматного лимонного риса в домашних условиях...
С
Стиль-и-уход-за-собой
06.06.2023
Как делать прически с крученым валиком: советы от профессионалов...
В
Взаимоотношения
12.10.2021
Как разорвать старые отношения, если у вас уже появился новый парень...
Х
Хобби-и-рукоделие
07.03.2023
Как играть в Колонизаторов...
К
Кулинария-и-гостеприимство
04.02.2023
Как приготовить фасоль пинто: пошаговый рецепт и полезные советы...
О
Образование-и-коммуникации
17.11.2022
Как стать самым уверенным учеником в школе?...
В
Взаимоотношения
05.02.2021
Как найти себе девушку в интернете: советы от экспертов...
З
Здоровье
01.02.2021
Как стать стройным естественным путем: советы от эксперта...
К
Компьютеры-и-электроника
10.03.2023
Как сделать снимок в Windows Live Movie Maker: подробное руководство...
К
Компьютеры-и-электроника
28.05.2023
Как создать ISO файл в Linux: шаг за шагом руководство...
Новые ответы от MOGZ: Математика
lizamrio1
06.11.2022
1.3. X в. создается государство каданей, которое вошло в историю под название Ее территория простиралась от 1.4. Каракитайский гурхан не уничтожил династию Караханидов,...
ашоттрубошот
03.12.2021
Даны вершины треугольника ABC: A(-2;-6), B(-3;5), C(4;0) Найти: -уравнение высоты СH -уравнение медицины AM -точку пересечения медианы AM и высоты CH -уравнение...
tasyasoloveva24
30.07.2021
Шамаларды салыстыр жане осу ретимен жаз 1дм 1см...
sanik98
17.05.2020
второе и четвертое уравнение....
oksanka199800
11.12.2020
используйте распределительное свойство умножения а) (1 3/4 + 2 1/2) * 4 б) 11/14a - 5/14a + 2 1/7a ...
Vladtop11234
09.11.2022
Упростите выражение 86x-77x...
AlexRico
19.08.2020
1). Выбери отношение, запись которого, выражает масштаб плана: 1 : 5, 3 : 4, 2 : 1. ...
12345678298
03.01.2020
Периметр прямоугольника 30 см. Если бы одну сторону удлинять вдвое, а другую - дважды укорочить, периметр получившегося прямоугольника был бы на 4,5 см длиннее....
syslik7773
18.04.2020
Сложите рациональные дроби 1/c+2 + 2/c²+2c...
Kaaaaktuuuus
21.05.2021
математика нужно до 15:00...
MOGZ ответил
Эссе на тему проблема бездомных детей 150 слов...
Найдите сумму всех трёзначных чисел, делящихся на 7, но не делящихся...
Запишите в виде десятичной дроби или смешанного числа число...
Народ выручайте нужна схема предложения дожди в середине июля...
Сколько будет игрек минус одна целая три восьмых равно одна...
Каковы на ваш взгляд причины отмены крепостного права в россии...
Решите 1.найдите наибольший корень уравнения 3x+0,4x^2=0 2.при...
Разложите на множители mx+nx+kx+my+ny+ky...
Козетта схватила ведро , страх придавал ей силы. разбор предложения...
Маса,ит,мысык,ат создерин кимылди билдиретин создеримен байланистирип...
Полный доступ к MOGZ
Живи умнее Безлимитный доступ к MOGZ
Оформи подписку
О НАС
О нас
Блог
Условия пользования
Авторское право
Политика конфиденциальности
Предпочтения cookie-файлов
ПОМОЩЬ
Зарегистрируйся
Центр помощи
Центр безопасности
App
Вход
Регистрация
Что ты хочешь узнать?
Спроси Mozg
Открыть лучший ответ