М
Молодежь
К
Компьютеры-и-электроника
Д
Дом-и-сад
С
Стиль-и-уход-за-собой
П
Праздники-и-традиции
Т
Транспорт
П
Путешествия
С
Семейная-жизнь
Ф
Философия-и-религия
Б
Без категории
М
Мир-работы
Х
Хобби-и-рукоделие
И
Искусство-и-развлечения
В
Взаимоотношения
З
Здоровье
К
Кулинария-и-гостеприимство
Ф
Финансы-и-бизнес
П
Питомцы-и-животные
О
Образование
О
Образование-и-коммуникации
технолигия
технолигия
27.11.2022 14:54 •  Математика

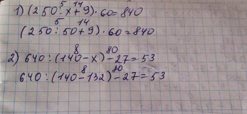
Рещи уравнение (250: x+9)*60=840 640: (140-x)-27=53

👇
Ответ:
данила305
данила305
27.11.2022
Вот списывай все правельно
Рещи уравнение (250: x+9)*60=840 640: (140-x)-27=53
4,7(57 оценок)
Открыть все ответы
Ответ:
380661146235
380661146235
27.11.2022
06.Найдите площадь прямоугольника со сторонами A и В
а) A=25см; B=24 см
б) A=48см; B=125см

S=25*24=600
S=48*125=6000

207.Найдите периметр прямоугольника со сторонами A и B 
а) A=12см; B=15см
б)A=34см; В=25см

P=(12+15)*2=27*2=54
P=(34+25)*2=59*2=118

210.Первое слагаемое равно 5460, второе-больше него на 545 десятков, третье - на 46 сотен больше второго, а четвёртое- равно сумме первых трёх слагаемых.Найди сумму всех четырёх слагаемых.

5460+5450=10900 второе число
10900+46000=56900 третье число
5460+10900+56900=73260 четвертое

5460+10900+56900+73260=146520
4,7(72 оценок)
Ответ:
Gatkek
Gatkek
27.11.2022
Я горжусь своим учителем,он пример для всех нас.Недавно мы с классом отдыхали на природе,было весело,кто то играл волейбол, кто то плавал.Все нашли себе занятия по душе,ничто не предвещало беды.Вдруг неожиданно кто то громко кричал и звал на недалеко от нас какие то парни избивали незнакомого мужчину,тот только закрывал лицо руками .Все смотрели издалека,но не подходили к дерущимся,все боялись.Тут наш учитель схватил палку, и подбежал к драчунам.Одного он ударил кулаком,другого палкой, третий выхватил откудо то ножик , только тогда подбежали другие мужчины на подмогу. Когда увидели толпу,драчуны стали убегать ,кто кудаВсе благодарили нашего учителя,но он и вниманья не обращал на восхищенные возгласы.Для нас это был пример мужества и порядочного поступка учителя!!
4,7(2 оценок)
Это интересно:
Новые ответы от MOGZ: Математика
logo
Вход Регистрация
Что ты хочешь узнать?
Спроси Mozg
Открыть лучший ответ