М
Молодежь
К
Компьютеры-и-электроника
Д
Дом-и-сад
С
Стиль-и-уход-за-собой
П
Праздники-и-традиции
Т
Транспорт
П
Путешествия
С
Семейная-жизнь
Ф
Философия-и-религия
Б
Без категории
М
Мир-работы
Х
Хобби-и-рукоделие
И
Искусство-и-развлечения
В
Взаимоотношения
З
Здоровье
К
Кулинария-и-гостеприимство
Ф
Финансы-и-бизнес
П
Питомцы-и-животные
О
Образование
О
Образование-и-коммуникации
STAS228917654321
STAS228917654321
31.05.2021 11:44 •  Математика

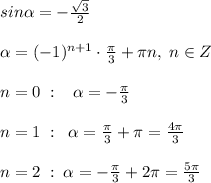
Синус угла равен минус корень из 3/2. запишите три различных возможных значения таких углов. ответ дайте в радианах.

👇
Ответ:
alina190383oztzns
alina190383oztzns
31.05.2021
sin \alpha =- \frac{\sqrt3}{2}\\\\ \alpha =(-1)^{n+1} \cdot \frac{\pi}{3}+\pi n,\; n\in Z\\\\n=0\; :\; \; \; \alpha= -\frac{\pi}{3}\\\\n=1\; :\; \; \alpha =\frac{\pi}{3
}+\pi =\frac{4\pi}{3}\\\\n=2\; :\; \alpha =-\frac{\pi}{3}+2\pi =\frac{5\pi}{3}
4,7(43 оценок)
Открыть все ответы
Ответ:
omtanya
omtanya
31.05.2021
144делится на 2 так как это число оканчивается на чётную цифру и 2400 ;4896 это все числа которые делятся на два Все числа делятся на три так как например:4896=4+8+9+6=27:3=9 То есть надо сложить все цифры в числе и если оно делится на три то и само число будет делится на три Дальше с пятеркой все просто число должно оканчиваться либо на 0 либо на 5:13005;2400. Ну а с девяткой все понятно надо сложить все цифры в числе и если оно делится три раза на три то и само число будет девятья на девять:4896. Ну как-то так
4,7(37 оценок)
Ответ:
fagev
fagev
31.05.2021

Пошаговое объяснение:

1). 1/3< x < 3/4

1/3 и  3/4 приведем к единому знаменателю, это 12

1/3=(1*4)/(3*4)=4/12; 3/4=(3*3)/(4*3)=9/12

4/12< x < 9/12

х₁=5/12

х₂=6/12=1/2

х₃=7/12

2). 1/8 < x < 3/4

общий знаменатель 8

3/4=(3*2)/8=6/8

1/8 < x < 6/8

х₁=3/8

х₂=4/8=1/2

х₃=5/8

3). 2/45 < x < 1/5

общий знаменатель 45

1/5=(1*9)/(5*9)=9/45

2/45 < x < 9/45

х₁=4/45

х₂=6/45=2/15

х₃=8/45

4). 1/10 <x < 1/2

Общий знаменатель 10

1/2=(1*5)/(2*5)=5/10

1/10 < x < 5/10

х₁=2/10=1/5

х₂=3/10

х₃=4/10=2/5

4,5(69 оценок)
Новые ответы от MOGZ: Математика
logo
Вход Регистрация
Что ты хочешь узнать?
Спроси Mozg
Открыть лучший ответ