М
Молодежь
К
Компьютеры-и-электроника
Д
Дом-и-сад
С
Стиль-и-уход-за-собой
П
Праздники-и-традиции
Т
Транспорт
П
Путешествия
С
Семейная-жизнь
Ф
Философия-и-религия
Б
Без категории
М
Мир-работы
Х
Хобби-и-рукоделие
И
Искусство-и-развлечения
В
Взаимоотношения
З
Здоровье
К
Кулинария-и-гостеприимство
Ф
Финансы-и-бизнес
П
Питомцы-и-животные
О
Образование
О
Образование-и-коммуникации
микс111111
микс111111
18.07.2022 16:15 •  Математика

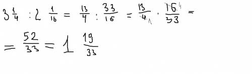
3целых одна четвёртая разделить на две целых однц шестнадцатую. решите подробно.

👇
Ответ:
ymnik3345
ymnik3345
18.07.2022
Кккккккккккккккккккк
3целых одна четвёртая разделить на две целых однц шестнадцатую. решите подробно.
4,5(18 оценок)
Ответ:
annachebotarevа
annachebotarevа
18.07.2022
Решение в приложении:
3целых одна четвёртая разделить на две целых однц шестнадцатую. решите подробно.
4,8(79 оценок)
Открыть все ответы
Ответ:
fenziknata
fenziknata
18.07.2022
(7 -8_4\5* 2_7\9 -15:(1\8-3\4) (перво, что делаем, это приводим к общему знаменателю число 3\4 умножаем на 2, что бы взнаменателе получить одно и тол же число-8.)
=-1_4\5*2_7\9-15:(1\8-6\8) (Так же смешанные дроби(дроби с целыми) переводим в неправильную путём умножения целого числа на знаменатель и прибавляем к нему числитель)
-9\5*25/9-15:(-5\8) ( там, где умножение дробь оставляем тойже и умножаем числител на числитель, а знаменатель, на знаменатель. В делении делитель переворачиваем и так ж е умножаем, дроби можно сократить)
=-5-24=29
ответ:29
4,7(22 оценок)
Ответ:
ruslankz02
ruslankz02
18.07.2022
А) 112 кв см, 1 кв дм 16 кв см (увеличение на 4 единицы)
б) 70 кв см, 60 кв см, 50 кв см ( уменьшение на десятку)
в) 34 дм, 370 см, 40 дм, 430 см (увел на 30 и последовательность)
г) 7 дм 2 см, 65 см, 5 дм 8 см ( уменьш на 7)
д) 38 дм, 3 м 3 дм ( не нашла закономерности)
е) 345 см, 37 дм (увел на 25 см)
ж) 2 м 5 дм, 300 см, 35 дм (увел на 50 см)

а) 1 кв дм 50 кв см, 1 кв дм 80 кв см, 2 кв дм 10 кв см (увел на 30 кв см)
б) 500 кв см, 60 кв дм, 700 кв см (увел на 100 кв см)
в) 32 кв м, 64 кв м, 128 кв м (увел в 2 раза)
г) 48 дм, 24 дм, 96 дм, 48 дм ( сначала увел в 4, потом уменьш в 2)
4,7(57 оценок)
Это интересно:
logo
Вход Регистрация
Что ты хочешь узнать?
Спроси Mozg
Открыть лучший ответ