М
Молодежь
К
Компьютеры-и-электроника
Д
Дом-и-сад
С
Стиль-и-уход-за-собой
П
Праздники-и-традиции
Т
Транспорт
П
Путешествия
С
Семейная-жизнь
Ф
Философия-и-религия
Б
Без категории
М
Мир-работы
Х
Хобби-и-рукоделие
И
Искусство-и-развлечения
В
Взаимоотношения
З
Здоровье
К
Кулинария-и-гостеприимство
Ф
Финансы-и-бизнес
П
Питомцы-и-животные
О
Образование
О
Образование-и-коммуникации
anton2015b
anton2015b
13.03.2023 06:44 •  Математика

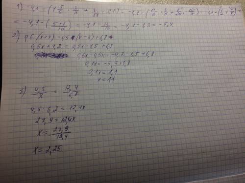
найдите значение выражения: -4,1 - ( 1 (одна целая) 5/6 (пять шестых)*(умножить на)3/11 + 8/25: (разделить на)0,4) 2) решите уравнение: 0,6(х+7) = 0,5(х-3) + 6,8 3) найдите неизвестный член пропорции: 4,5/х = 12,4/6,2 знак " / " - означает дробь. не деление. в скобочках я указала примеры

👇
Ответ:
В 3) надо умножать крест на крест.
найдите значение выражения: -4,1 - ( 1 (одна целая) 5/6 (пять шестых)*(умножить на)3/11 + 8/25: (раз
4,4(3 оценок)
Ответ:
Nadezda1997
Nadezda1997
13.03.2023
Вот, надеюсь, поймешь)
найдите значение выражения: -4,1 - ( 1 (одна целая) 5/6 (пять шестых)*(умножить на)3/11 + 8/25: (раз
4,7(12 оценок)
Открыть все ответы
Ответ:
gc121
gc121
13.03.2023
А)  y=lnx параллельна прямой а)y=2x+5   .    x0- ?
У параллельных прямых совпадают угловые коэффициенты в уравнении прямой. В то же время значение производной в точке касания равно угловому коэффициенту.
У y=2x+5     k = 2 .
Найдем у функции  y=lnx  производную и приравняем ее к 2.
( lnx ) ' = 1 / x.
1/x = 2; 
x = 1/2= 0,5. ответ х = 0,5.

 б) y=lnx параллельна прямой y=x+sqrt(3).
ТОчно так же  из функции  y=x+sqrt(3) следует, что угловой коэффициент      k = 1;

Найдем у функции  y=lnx  производную и приравняем ее к 1.
( lnx ) ' = 1 / x.
1/x = 1; 
x = 1. ответ х = 1.
4,5(82 оценок)
Ответ:
kinzya
kinzya
13.03.2023
 Положим что радиусы AB,BC AC и некой окружности равны r1=2,r=12,r3=3, r4=x
 Это окружность будет строго внутри данных полуокружностей , воспользуемся теоремой Декарта, утверждает что если окружность касаются в 6 различных точках то, для нее справедлива уравнение  
 (1/r1+1/r2+1/r3+1/x)^2=2(1/r1^2+1/r2^2+1/r3^2+1/x^2)  
 Но так как окружность построенная как на диаметре AC касается  внутренним образом то знак перед 1/r3 ставится отрицательный , то 
(1/2+1-1/3+1/x)^2 = 2*(1/4+1+1/9+1/x^2) 
 (7/6+1/x)^2=2*(49/36+1/x^2)  
(7x-6)^2/(36x^2)=0 
 x=6/7 
 ответ r4=6/7  или  r4=0.86 
4,4(97 оценок)
Новые ответы от MOGZ: Математика
logo
Вход Регистрация
Что ты хочешь узнать?
Спроси Mozg
Открыть лучший ответ