М
Молодежь
К
Компьютеры-и-электроника
Д
Дом-и-сад
С
Стиль-и-уход-за-собой
П
Праздники-и-традиции
Т
Транспорт
П
Путешествия
С
Семейная-жизнь
Ф
Философия-и-религия
Б
Без категории
М
Мир-работы
Х
Хобби-и-рукоделие
И
Искусство-и-развлечения
В
Взаимоотношения
З
Здоровье
К
Кулинария-и-гостеприимство
Ф
Финансы-и-бизнес
П
Питомцы-и-животные
О
Образование
О
Образование-и-коммуникации
ViksAks
ViksAks
14.04.2021 22:39 •  Математика

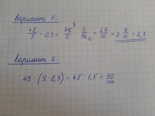
1. найдите значение выражения: 45/5*0.3 с ходом решения,должно быть ответ 30

👇
Ответ:
lthyperdeath1
lthyperdeath1
14.04.2021
В том виде, в котором записано  условие - в ответе не может быть 30.
Поэтому будет 2 варианта решения -абсолютно двух разных условий.
Скобки - меняют всё :))
1. найдите значение выражения: 45/5*0.3 с ходом решения,должно быть ответ 30
4,7(46 оценок)
Открыть все ответы
Ответ:
kamilya14957
kamilya14957
14.04.2021
Бородин Александр Порфирьевич (1833–1887), русский композитор.Родился 31 октября (12 ноября) 1833 в Санкт-Петербурге. Он был внебрачным сыном немолодого грузинского князя Луки Гедианова и петербургской мещанки Авдотьи Антоновой.
Дни, недели, месяцы, зимы проходят при условиях, не позволяющих и думать о серьезном занятии музыкою. Некогда одуматься, перестроить себя на музыкальный лад, без чего творчество в большой вещи, как опера, немыслимо. Для такого настроения у меня имеется в распоряжении только часть лета. Зимою я могу писать музыку, только когда болен настолько, что не читаю лекций, не хожу в лабораторию, но все-таки могу кое-чем заниматься. На этом основании мои музыкальные товарищи, вопреки общепринятым обычаям, желают мне постоянно не здоровья, а болезни.Бородин Александр Порфирьевич.
По обычаю того времени ребенок получил фамилию одного из крепостных отца. Мальчик учился дома языкам – немецкому, французскому, английскому (позже овладел также итальянским). Он рано проявил интерес к музыке: в восемь лет начал брать уроки игры на флейте, а затем – на фортепиано и виолончели, в девять – сочинил польку для фортепиано в 4 руки и уже в четырнадцать лет попробовал силы в сочинении для камерного ансамбля.Однако более всего Бородина привлекала не музыка, а химия, которая и стала его профессией. С 1850 по 1856 он являлся вольнослушателем петербургской Медико-хирургической академии, по окончании был оставлен там преподавателем и в 1858 получил степень доктора медицины. Затем Бородин был направлен в научную командировку в Западную Европу (1859–1862). За границей он встретился с молодой московской пианисткой-любительницей Екатериной Сергеевной Протопоповой, музицируя с которой открыл для себя мир романтической музыки Шопена, Листа, Шумана. Вскоре они поженились.По возвращении в Россию он был избран адъюнкт-профессором по кафедре химии Медико-хирургической академии, а в 1864 – ординарным профессором (впоследствии заведующим) той же кафедры.Несмотря на усиленные занятия наукой, Бородин никогда не оставлял музыки: в этот период им созданы струнный и фортепианный квинтеты, струнный секстет и другие камерные произведения.Решающим в его музыкальной биографии стал 1862, когда Бородин познакомился и подружился с композитором Милием Балакиревым и его кружком (впоследствии известным под именем Новой русской школы или «Могучей кучки»), состоявшим из Цезаря Кюи, Николая Римского-Корсакова и Модеста Мусоргского; под их влиянием Бородин начал работу над симфонией ми-бемоль мажор.Ее окончание затянулось ввиду загруженности композитора научной, преподавательской и издательской деятельностью (Бородин преподавал на Женских врачебных курсах, редактировал научный журнал «Знание» и т.д.), однако в 1867 симфония была все-таки закончена, а в 1869 – исполнена под управлением Балакирева. К 1867–1868 годам относится работа Бородина над оперой-фарсом Богатыри (пародия на распространенный в то время жанр романтической оперы на русскую историческую тему, с использованием мелодий Ж.Оффенбаха, Дж.Мейербера, А.Серова, русских песен и т.п.); в то же время он написал несколько романсов, являющихся шедеврами русской вокальной лирики.Успех Первой симфонии подвиг Бородина на продолжение работы в этом жанре: в 1869 возникает замысел симфонии си-бемоль минор, однако вскоре композитор оставляет его, привлеченный идеей оперы на сюжет древнерусского эпоса Слово о полку Игореве. Вскоре опера тоже была оставлена; часть сочиненной для нее музыки вошла во Вторую симфонию, окончание работы над которой относится к 1875. Примерно с 1874 Бородин возвращается к своему оперному замыслу и продолжает время от времени работать над отдельными сценами Князя Игоря. Однако к моменту смерти композитора опера осталась незавершенной.
4,4(72 оценок)
Ответ:
9305153
9305153
14.04.2021
Бразование земли и человека?-следствие богоявления
как называется праздник когда Христос родился (рождество)
огда мы слышим ‘Христос Воскресе.Вотстину Воскресе!-Пасха
Что такое алтарная перегородка, более или менее сплошная, от северной до южной стен храма, состоящая из одного или нескольких рядов упорядоченно размещённых икон? (иконостас)
Что такое титул епископа-предстоятеля автокефальной православной Церкви в ряде Поместных Церквей? (патриарх)

Кто такой член религиозной общины, давший обет вести аскетическую жизнь? (монах)
4,4(85 оценок)
Это интересно:
Новые ответы от MOGZ: Математика
Полный доступ к MOGZ
Живи умнее Безлимитный доступ к MOGZ Оформи подписку
logo
Вход Регистрация
Что ты хочешь узнать?
Спроси Mozg
Открыть лучший ответ