М
Молодежь
К
Компьютеры-и-электроника
Д
Дом-и-сад
С
Стиль-и-уход-за-собой
П
Праздники-и-традиции
Т
Транспорт
П
Путешествия
С
Семейная-жизнь
Ф
Философия-и-религия
Б
Без категории
М
Мир-работы
Х
Хобби-и-рукоделие
И
Искусство-и-развлечения
В
Взаимоотношения
З
Здоровье
К
Кулинария-и-гостеприимство
Ф
Финансы-и-бизнес
П
Питомцы-и-животные
О
Образование
О
Образование-и-коммуникации
Аланк
Аланк
26.03.2022 04:21 •  Математика

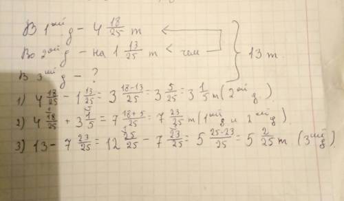
На элеватор в первый день 4 18/25 тонн зерна во второй день на 1 13/25 тонну меньше чем в первый.сколькотонн зерна в третий день если всего 13 тонн зерна.

👇
Ответ:
Andreevna003
Andreevna003
26.03.2022
4 18/25 - 1 13/25 = 3 5/25 т привезли во второй день
4 18/25 + 3 5/25= 7 23/25n т привезли за два дня
13 - 7 23/25 = 5 2/25т привезли в третий день
4,6(80 оценок)
Ответ:
kittikatlove
kittikatlove
26.03.2022
,,,,,,,,,,,,,,,.............
На элеватор в первый день 4 18/25 тонн зерна во второй день на 1 13/25 тонну меньше чем в первый.ско
4,5(26 оценок)
Открыть все ответы
Ответ:
Xbdjdndskej
Xbdjdndskej
26.03.2022
Минем туган ягым башкортостан. безнең республикабыз бөек рәсәй киңлекләрендә урнашкан. монда бик күп милләт дуслыкта һәм бердәмлектә матур гомер кичерә. аларның уникаль гореф-гадәтләре, борынгы культуралары туган ягыбызның иң мөһим рухи байлыгы. һәркемгә үз туган ягы йөрәгенә бик якын һәм кадерле. кайда гына булмасаң да, нинди генә матур җирләрне күрмәсәң дә күңел барыбер үз туган ягыңа тартачак, чөнки монда табигать тә матуррак, һава да чистарак. безнең өчен зур горурлык шулдыр – кем генә башкортостанга кунак булып килмәсен, барсында мондагы яшел куе урманнар, саф чиста сулы елгалар, бөек урал таулары һәм кунакчыл, нечкә күңелле башкорт һалкы таң калдыра. туган як – ул минем яраткан гаиләм һәм туган йортым гына түгел, туган ягым минем бөтен башкортостан. эссе җәй көннәрендә урманда олы имәннәр һәм төз каеннар күләгәсендә, җиләстә йөрү иң рәхәтедер. кайдадыр якында гына җитез чишмә үзенең моңлы җырын җырлап йөгерә, ул бер дә арымый: кышын да, җәен дә, язын да, көзен дә каядыр ашыга да ашыга. минем туган ягым урманнары төрле-төрле җиләк-җимешкә, гөмбәләргә, дару ясый торган үләннәргә бай. аларны барсында курыкмыйча кулланырга мөмкин, чөнки алар саф һавада, кеше аягы басмаган җирдә үскәннәр. бу бөтен байлыкны безнең яхшы һәм миһербанлы мөнәсәбәтебез генә саклап киләчәк буыннарыбызга да җиткерер. минем өчен кадерле һәм якын булган як ул минем туган авылым. туган авылым зур түгел, кечкенә, ул ике калкулык астында урнашкан. бу ике калкулык кышны салкын җилләрдән саклый безне, а җәйне монда авыл халкы урман җиләге җыеп мәш килә. кечкенә тауларыбызны җитез елга уратып алган. -чагага җәй көнендә иң зур шатлык иртәннән кичкә чаклы шушы елгада ташбаш яки зур булмаган табан тотып утыру. ерак түгел генә безнең урманыбыз да бар, анда без җәй көннәрендә җиләк һәм гөмбә җыеп вакытыбызны уздарабыз. урал таулары безнең туган авылыбыздан ерак урнашкан. минем туган ягым – чиксез калкулыклы дала, кайсебер җирдә аны зәңгәр сулы елагалар кисеп чыга. башкортостанда уникаль табигать һәм мәдәният байлыклары бик күп. монда булган сәяхәтчеләрнең күңелендә башкортостанда күргән матурлыклар озакка саклана һәм тагын да шушы тылсымлы җиргә борылып кайтасы килеп торадыр. безнең бурычыбыз - шушы табигый байлыкларны, туган ягыбызның матурлыгын саклауга барлык көчебезне салу, туган җиребезгә олы ихтирам белән карау. шулай булса гына монда килүче кунакларбыз да безнең туган ягыбызга, туган җиребезгә ихтирам белән карарлар һәм аңа зыянлык ясамаслар.
4,4(50 оценок)
Ответ:
ocnovavladimir
ocnovavladimir
26.03.2022
Два грузовика едут по шоссе со скоростью 90 км/ч, расстояние между ними — 240 метров. Когда грузовик сворачивает на проселочную дорогу, его скорость снижается до 30 км/ч. Сколько метров будет между грузовиками на проселочной дороге?
--------
Когда первый грузовик свернул на проселочную дорогу, второй ехал до развилки ещё 240 м  (0,24км) со скоростью 90км/ч и проехал это расстояние за t=S:v
0,24:90=0,04/15 часа 
Первый грузовик за это же время отъехал от развилки со скоростью 30 км/ч на расстояние 
30*0,04/15=0,08 км= 80 м
Это  и будет расстоянием между грузоввиками на проселочной дороге, т.к. второй грузовик, доехав до развилки, будет ехать с той же скоростью, что первый, и расстояние между ними будет постоянным. ( см. рисунок)
Два грузовика едут по шоссе со скоростью 90 км/ч, расстояние между ними — 240 метров. когда грузовик
4,8(4 оценок)
Это интересно:
Новые ответы от MOGZ: Математика
logo
Вход Регистрация
Что ты хочешь узнать?
Спроси Mozg
Открыть лучший ответ