М
Молодежь
К
Компьютеры-и-электроника
Д
Дом-и-сад
С
Стиль-и-уход-за-собой
П
Праздники-и-традиции
Т
Транспорт
П
Путешествия
С
Семейная-жизнь
Ф
Философия-и-религия
Б
Без категории
М
Мир-работы
Х
Хобби-и-рукоделие
И
Искусство-и-развлечения
В
Взаимоотношения
З
Здоровье
К
Кулинария-и-гостеприимство
Ф
Финансы-и-бизнес
П
Питомцы-и-животные
О
Образование
О
Образование-и-коммуникации
Olga2442
Olga2442
19.07.2020 21:34 •  Математика

Найти неопределённый интеграл, используя выделение полного квадрата.

👇
Ответ:
Wector11211
Wector11211
19.07.2020
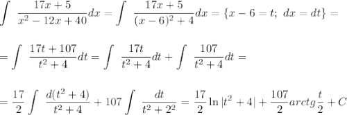
\displaystyle \int\limits \ \frac{17x+5}{x^2-12x+40} dx = \int\limits \ \frac{17x+5}{(x-6)^2+4} dx =\{x-6=t;\,\, dx=dt\}=\\ \\ \\ = \int\limits \ \frac{17t+107}{t^2+4} dt = \int\limits \ \frac{17t}{t^2+4} dt+ \int\limits \ \frac{107}{t^2+4} dt=\\ \\ \\ = \frac{17}{2} \int\limits \ \frac{d(t^2+4)}{t^2+4} +107 \int\limits \ \frac{dt}{t^2+2^2} = \frac{17}{2} \ln|t^2+4|+ \frac{107}{2} arctg \frac{t}{2} +C

где t=x-6
4,5(7 оценок)
Открыть все ответы
Ответ:
Полинаhelpme1
Полинаhelpme1
19.07.2020

Язык неотъемлемая часть каждого из нас.Мы живем в и на языке.

Мы все говорим, и мы все слушаем: так что мы все заинтересованы в происхождении слов, в том, как они появляются и умирают. Некоторые слова умирают, некоторые меняют свои значения и все время новые слова появляются в языке.

Есть несколько добавления новых слов в языке. Одним из них является заимствование слов из других языков. В конце 20-го века в английском языке есть много слов, которые были заимствованы из латыни, французский, испанский, итальянский, голландский и другие языки.Слова, которые были заимствованы рассказать нам о странах, откуда они прибыли. К примеру, многие итальянские слова, которые сейчас являются частью английского (опера, оперетта, пианино) относятся к музыке.

Многие слова, что люди заимствуют из других языков названия продуктов питания.

4,5(58 оценок)
Ответ:
Catco111
Catco111
19.07.2020

Язык неотъемлемая часть каждого из нас.Мы живем в и на языке.

Мы все говорим, и мы все слушаем: так что мы все заинтересованы в происхождении слов, в том, как они появляются и умирают. Некоторые слова умирают, некоторые меняют свои значения и все время новые слова появляются в языке.

Есть несколько добавления новых слов в языке. Одним из них является заимствование слов из других языков. В конце 20-го века в английском языке есть много слов, которые были заимствованы из латыни, французский, испанский, итальянский, голландский и другие языки.Слова, которые были заимствованы рассказать нам о странах, откуда они прибыли. К примеру, многие итальянские слова, которые сейчас являются частью английского (опера, оперетта, пианино) относятся к музыке.

Многие слова, что люди заимствуют из других языков названия продуктов питания.

4,5(43 оценок)
Это интересно:
Новые ответы от MOGZ: Математика
logo
Вход Регистрация
Что ты хочешь узнать?
Спроси Mozg
Открыть лучший ответ