М
Молодежь
К
Компьютеры-и-электроника
Д
Дом-и-сад
С
Стиль-и-уход-за-собой
П
Праздники-и-традиции
Т
Транспорт
П
Путешествия
С
Семейная-жизнь
Ф
Философия-и-религия
Б
Без категории
М
Мир-работы
Х
Хобби-и-рукоделие
И
Искусство-и-развлечения
В
Взаимоотношения
З
Здоровье
К
Кулинария-и-гостеприимство
Ф
Финансы-и-бизнес
П
Питомцы-и-животные
О
Образование
О
Образование-и-коммуникации
оеавц
оеавц
14.04.2021 20:35 •  Математика

Флагшток удерживается в вертикальном положении при троса расстояние от которого от основания флагштока до места крепления троса на земле равно 4,2 м длина троса равна 7 м найдите расстояние от земли до точки крепления троса .ответ дайте в метрах

👇
Ответ:
Dianaaaaaaaaaa03
Dianaaaaaaaaaa03
14.04.2021

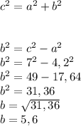
Конструкция представляет собой прямоугольный треугольник.

• Длина троса (7 м) – гипотенуза c.

• Расстояние от основания флагштока до места крепления троса на земле (4,2 м) – катет a.

• Расстояние от земли до точки крепления троса на флагштоке – неизвестный катет b.

_________________________


Дано:

c = 7 м

a = 4,2 м


Найти:

b – ?



Найдём катет b. По теореме Пифагора получаем:


c^2 = a^2 + b^2 \\ \\ \\ b^2 = c^2 - a^2 \\ b^2 = 7^2 - 4,2^2 \\ b^2 = 49 - 17,64 \\ b^2 = 31,36 \\ b = \sqrt{31,36} \\ b = 5,6


Значит, расстояние от земли до точки крепления троса на флагштоке равно 5,6 м.


ОТВЕТ: 5,6 м


Флагшток удерживается в вертикальном положении при троса расстояние от которого от основания флагшто
4,5(92 оценок)
Открыть все ответы
Ответ:
Ivanpomogite228
Ivanpomogite228
14.04.2021
НИКОЛАЙ II Александрович [6 (18) мая 1868, Царское Село - 17 июля 1918, Екатеринбург], последний российский император (1894-1917), старший сын императора Александра III Александровича и императрицы Марии Федоровны, почетный член Петербургской АН (1876).

Его царствование совпало с быстрым промышленно-экономическим развитием страны. При Николае II Россия потерпела поражение в русско-японской войне 1904-05, что явилось одной из причин Революции 1905-1907, в ходе которой был принят Манифест 17 октября 1905, разрешавший создание политических партий и учреждавший Государственную думу; начала осуществляться Столыпинская аграрная реформа. В 1907 Россия стала членом Антанты, в составе которой вступила в 1-ю мировую войну. С августа (5 сентября) 1915 года верховный главнокомандующий. В ходе Февральской революции 1917 2(15) марта отрекся от престола. Расстрелян вместе с семьей. В 2000 канонизирован Русской православной церковью.
4,7(22 оценок)
Ответ:
polina033
polina033
14.04.2021
Жил у пруда один старик, мудрым говорят был. А в том пруду у которого он жил , люди увидели золотую монету, но она была на сомом дне в середине пруда. Когда услышали Агат и Мурат об этом решили эту монету достать. Посылали двровых мальчишек, но когда они ныряли не находили монеты. А старик все смотрел, да смеялся. Потом Агат и Мурат попытались вытащить монету различными но ничего у них не выходило. И спустя года, когда старик уже умер, полез Мурат на дерево, птенцов вывалившихся из гнезда посадить и увидел Мурат в ней золотую монету. Оказалось что мудрый старик положил в гнездо монету и солнце отсвечивало в пруд и всем казалось будто в пруду золотая монета. 
4,6(29 оценок)
Это интересно:
Новые ответы от MOGZ: Математика
logo
Вход Регистрация
Что ты хочешь узнать?
Спроси Mozg
Открыть лучший ответ