М
Молодежь
К
Компьютеры-и-электроника
Д
Дом-и-сад
С
Стиль-и-уход-за-собой
П
Праздники-и-традиции
Т
Транспорт
П
Путешествия
С
Семейная-жизнь
Ф
Философия-и-религия
Б
Без категории
М
Мир-работы
Х
Хобби-и-рукоделие
И
Искусство-и-развлечения
В
Взаимоотношения
З
Здоровье
К
Кулинария-и-гостеприимство
Ф
Финансы-и-бизнес
П
Питомцы-и-животные
О
Образование
О
Образование-и-коммуникации
melnushyk099
melnushyk099
14.12.2022 05:32 •  Математика

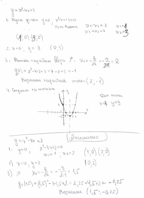
Нужно, умоляю, у меня есть час. подробно нужно и рисунок параболы и подробно все 2 уравнения 1) y=x2-4x+3 2) x2-3x+2 нужно, не оставайтесь равнодушными. мало времени подробно ! по схеме и !

👇
Ответ:
Yana7112
Yana7112
14.12.2022
Решение см файл. Если правильно поняла задание.
Нужно, умоляю, у меня есть час. подробно нужно и рисунок параболы и подробно все 2 уравнения 1) y=x2
4,6(91 оценок)
Открыть все ответы
Ответ:
abakanilaha
abakanilaha
14.12.2022

12 ч; 24 ч

Пошаговое объяснение:

Дано:

r₁ - скорость первого комбайнера; t₁ - время первого комбайнера

r₂ - скорость второго комбайнера; t₂ - время второго комбайнера

t₁ + t₂ = t = 8 ч

Формула для общей работы:

(r₁ + r₂) · t = 1 (единицей выражается объем работы, если он не указан)

r₁ + r₂ = 1/8 (скорость в час, работая вместе)

(r₁ + r₂) · 2 = 1/8 · 2 = 1/4 (объем работы, сделанный за 2 часа вместе)

1 - 1/4 = 3/4 (объем работы, который остался, когда один из комбайнеров ушел)

r₂ = 3/4 ÷ 18 = 1/24 (скорость второго комбайнера, который остался)

1/24 · t₂ = 1 или t₂ = 24 ч (время второго комбайнера, если бы он сделал работу самостоятельно)

r₁ + r₂ = 1/8 или r₁ + 1/24 = 1/8 или r₁ = 1/12 (скорость первого комбайнера)

1/12 · t₁ = 1 или t₁ = 12 ч (время первого комбайнера, если бы он сделал работу самостоятельно)

4,8(66 оценок)
Ответ:
Мигает333
Мигает333
14.12.2022
Назовем один берег реки А, а второй В.
На берегу А лодка, перевозчик, мальчики, назовем их Петя и Вова, и землекопы.

1) Два мальчика переплыли реку от А к В.
Мальчик Петя остался на B, мальчик Вова вернул лодку на А и отдал 1-му землекопу.

2) 1-й землекоп переплыл реку от А к В, в лодку сел Петя и вернул лодку на берег А.

3) Два мальчика переплыли реку от А к В.
Мальчик Петя остался на В, мальчик Вова вернул лодку на А и отдал 2-му землекопу.

4) 2-й землекоп переплыл реку от А к В, в лодку сел Петя и вернул лодку на берег А.

5) Два мальчика переплыли через от А к В.
Мальчик Петя остался на В, мальчик Вова вернул лодку на А и отдал 3-му землекопу.

6) 3-й землекоп переплыл реку от А к В, в лодку сел Петя и вернул лодку на берег А.

И так далее, пока все землекопы не переправятся на противоположный берег В.
4,8(28 оценок)
Это интересно:
Новые ответы от MOGZ: Математика
logo
Вход Регистрация
Что ты хочешь узнать?
Спроси Mozg
Открыть лучший ответ