М
Молодежь
К
Компьютеры-и-электроника
Д
Дом-и-сад
С
Стиль-и-уход-за-собой
П
Праздники-и-традиции
Т
Транспорт
П
Путешествия
С
Семейная-жизнь
Ф
Философия-и-религия
Б
Без категории
М
Мир-работы
Х
Хобби-и-рукоделие
И
Искусство-и-развлечения
В
Взаимоотношения
З
Здоровье
К
Кулинария-и-гостеприимство
Ф
Финансы-и-бизнес
П
Питомцы-и-животные
О
Образование
О
Образование-и-коммуникации
SuperArtem52
SuperArtem52
15.05.2020 22:30 •  Математика

Найти площадь фигуру, ограниченную указанными линиями y=1/4 x^2 , y=3x-1/4 x^2

👇
Ответ:
aajlarov
aajlarov
15.05.2020
X²/4 = 3x - x²/4
x²/2 - 3x = 0
x(x-6) = 0
x1 = 0
x2 = 6

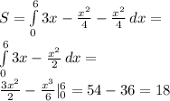
S = \int\limits^6_0 { 3x- \frac{x^2}{4}-\frac{x^2}{4} } \, dx =\\
 \int\limits^6_0 { 3x-\frac{x^2}{2} } \, dx =\\
\frac{3x^2}{2}-\frac{x^3}{6} |_0^6 = 54 - 36 = 18

ответ: 18
4,8(95 оценок)
Открыть все ответы
Ответ:
iliasbro87073799809
iliasbro87073799809
15.05.2020
Компьютер... Что может скрывать в себе такое слово? Хорошая ли эта вещь? Вот раньше было здорово: дети читали книги и играли с друзьями во дворе; все эти блага можно было видеть в СССР в основном 1980-е годы. Завтрак, школа, домашнее задание, прогулка с друзьями, чтение книги и сон - это наверное уже ушедший в распорядок дня  школьника. А сейчас, в современное время, что же мы видим: дети приходят из школы, садятся за компьютер, и начинают , как говориться , тупо играться в компьютерные игры, а домашнее задание откладывают на потом, на вечер. Итак, что мы можем сказать в итоге.
Дети должны учиться, а не тратить время попусту - на компьютерные игры. Можно добавить: книга - лучший друг человека, а компьютерные игры - мировое зло.
4,6(72 оценок)
Ответ:
egorvano
egorvano
15.05.2020
Проект "Дети и компьютерные игры"
1. Компьютер полезен - с интернета можно узнать много нового.
2. Компьютер вреден, если проводить за ним много времени. От долгого сидения портится осадка и зрение. К тому же идет большая нагрузка на мозг человека, поскольку ему нужно воспринять сразу много информации.
3. Видеоигры, видеоролики не несут полезной информации - ты только теряешь время, уделяя этому внимание. Компьютерные игры не развивают, а только развлекают. Как гласит мудрая пословица: Делу время - потехе час. Выделить время на игры можно - но это не должно длиться несколько часов. Достаточно 1 часа в день.
Основная мысль: должно быть строго регламентированное время для обучения за компьютером и  игр. Исключать компьютер и интернет из жизни нельзя - надо лишь научиться этим правильно пользоваться.
4,5(11 оценок)
Это интересно:
Новые ответы от MOGZ: Математика
logo
Вход Регистрация
Что ты хочешь узнать?
Спроси Mozg
Открыть лучший ответ