М
Молодежь
К
Компьютеры-и-электроника
Д
Дом-и-сад
С
Стиль-и-уход-за-собой
П
Праздники-и-традиции
Т
Транспорт
П
Путешествия
С
Семейная-жизнь
Ф
Философия-и-религия
Б
Без категории
М
Мир-работы
Х
Хобби-и-рукоделие
И
Искусство-и-развлечения
В
Взаимоотношения
З
Здоровье
К
Кулинария-и-гостеприимство
Ф
Финансы-и-бизнес
П
Питомцы-и-животные
О
Образование
О
Образование-и-коммуникации

Решить: найдите x, если: а) log5 x = 1/2 log5 81 + 2 log5 3 - 3 log5 3; b) log3 x = 1/5 log3 243 + 4 log3 2 - 2 log3 2; заранее♥

👇
Ответ:
Lrins
Lrins
08.12.2021
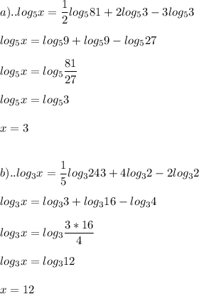
\displaystyle a)..log_{5}x= \frac{1}{2}log_{5}81+2log_{5}3-3log_{5}3 \\ \\ log_{5}x=log_{5}9+log_{5}9-log_{5}27 \\ \\ log_{5}x=log_{5} \frac{81}{27} \\ \\ log_{5}x=log_{5}3 \\ \\ x=3 \\ \\ \\ b)..log_{3}x= \frac{1}{5}log_{3}243+4log_{3}2-2log_{3}2 \\ \\ log_{3}x=log_{3}3+log_{3}16-log_{3}4 \\ \\ log_{3}x=log_{3} \frac{3*16}{4} \\ \\ log_{3}x=log_{3}12 \\ \\ x=12
4,4(47 оценок)
Открыть все ответы
Ответ:
COYOT61
COYOT61
08.12.2021
1 вариант:
1)  19 * 632 = 12 008
2) 25 * 493 * 4 * 200 = 9 760 000 - ответ "б"
3) Получается, что в 1 поселке двухэтажных домов - 7, трехэтажных - 5, всего 27 домов, значит, 27-7-5= 15 одноэтажных домов. В каждом одноэтажном доме по 8 окон, значит всего окон во всех одноэтажных домах 15*8=120 окон; в двухэтажных: 7*15=105 окон; в трехэтажных: 5*16=80 окон. Всего окон в 1 поселке: 120+105+80=305 окон. В четырех таких поселках: 305*4=1 220 окон. ответ "б"

2 Вариант:
1) 73 * 48 = 3 504
2) 4 * 365 * 25 * 300 = 10 950 000, ответ "б"
3) За один день грузовой автомобиль потребляет 60 л бензина, а в гараже их 16, значит все грузовые автомобили потребляеют 60*16=960 л бензина в день; Автобусы: 45*32=1 440 л в день; легковые автомобили: 22*24=528 л в день.
Всего в гараже в день потребляется 960+1440+528=2928 л в день. А за 30 дней: 2928*30=87 840 л. ответ - "а"

3 Вариант:
1) 930 * 7700 = 7 161 000
2) 40 * 751 * 25 * 200 = 150 200 000 ответ - "а"
3) В двухэтажной школе 36 кабинетов, по 14 парт в каждом. Всего 36*14=504 парты; В трехэтажной: 48*16=768 парт. В городе 9 двухэтажных школ, значит во всех двухэтажных школах 504*9=4536 парт, а трехэтажных 4, значит 768*4=3072 парт. Всего в городских школах 4536+3072=7608 парт. ответ - "б"
4,5(69 оценок)
Ответ:
vdovitskaya88
vdovitskaya88
08.12.2021

 Второго сентября в администрации города Магнитогорска пресс-конференция, на которой была представлена книга кандидата философских наук Салавата Харисовича Ахметзянова «Спецпереселенцы — перво-строители Магнитогорска».

Книга позиционируется как наиболее полное на данный момент исследование, посвященное реальным строителям Магнитогорска. Иными словами, на уровне городской администрации признали, что Магнитку построили спецпереселенцы. А такое заявление, при условии, что оно подкрепляется фактами, является, как минимум, сенсацией, в одночасье перечеркивающей принятое до сих пор представление о строительстве гиганта черной металлургии.

Однако не будем забегать вперед с выводами и обратимся к самой книге, в описании которой говорится, что «кроме широко известных героев, чьими именами названы улицы города, были и неизвестные. Прежде всего речь идет о спецпереселенцах, десятки тысяч которых после раскулачивания были сосланы на стройку металлургического комбината. Данная книга создана, чтобы восполнить некий пробел нашей исторической памяти».

Громкие слова о «реальных строителях Магнитогорска» оставим на совести администрации. Из приведенного выше отрывка следует, что книга призвана ликвидировать белые пятна, связанные с историей трудового подвига. И подобное начинание заслуживает лишь уважения — ведь по-настоящему грамотных и не идеологизированных работ, связанных со спецпереселенцами, крайне мало. Основная же их масса носит антисоветский характер, подменяющий благородную цель восстановления исторической правды, изобличением сталинского режима.




4,5(28 оценок)
Это интересно:
Новые ответы от MOGZ: Математика
logo
Вход Регистрация
Что ты хочешь узнать?
Спроси Mozg
Открыть лучший ответ