М
Молодежь
К
Компьютеры-и-электроника
Д
Дом-и-сад
С
Стиль-и-уход-за-собой
П
Праздники-и-традиции
Т
Транспорт
П
Путешествия
С
Семейная-жизнь
Ф
Философия-и-религия
Б
Без категории
М
Мир-работы
Х
Хобби-и-рукоделие
И
Искусство-и-развлечения
В
Взаимоотношения
З
Здоровье
К
Кулинария-и-гостеприимство
Ф
Финансы-и-бизнес
П
Питомцы-и-животные
О
Образование
О
Образование-и-коммуникации
daniil357
daniil357
05.11.2021 00:38 •  Математика

Кто нибудь знает как решить уравнение (sinx-1)(ctg2x-√3)=0?

👇
Ответ:
qofepvcqj
qofepvcqj
05.11.2021
Одз  ctg2x-√3≠0     ctg2x≠√3     2x≠arcctg√3+pi*n   x≠p/6+pi*n/2  n∈Z
sinx-1=0
sinx=1
x=pi/2+2pi*k   k∈Z
4,4(50 оценок)
Ответ:
A1289A
A1289A
05.11.2021
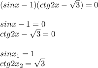
(sinx-1)(ctg2x- \sqrt{3})=0 \\ \\ sinx-1=0 \\ ctg2x- \sqrt{3}=0 \\ \\ sinx_1=1 \\ ctg2x_2= \sqrt{3}

x_1= \frac{ \pi }{2} +2 \pi k \\ 2x_2= \frac{ \pi }{3}+ \pi k

x_1= \frac{ \pi }{2} +2 \pi k \\ x_2= \frac{ \pi }{6}+ \frac{ \pi }{2}k

ответ: x1=pi/2+2pi*k, k∈Z
            x2=pi/6+pi/2*k, k∈Z
4,8(22 оценок)
Открыть все ответы
Ответ:
Настька1210
Настька1210
05.11.2021
Есть два
нарисую вот так:        x
жёлтых шариков-   ||
красных шариков  |___x__|___x__|___x__|
если мы посчитаем X то получим 4 ( 4 одинаковых отрезка)
Значит: 1) 36: 4=9(шар)
как видишь х это жёлтые шары
значит есть 9 желтых шариков
А теперь просто 9*3=27(шаров)-красных

А вот 2 вариант
Пусть х шариков- жёлтых.
Тогда (х*3) шариков - красных
Зная, что всего 36 шариков составим и решим уравнение:
х+х*3=36
х*4=36
х= 36:4
х= 9
9 шариков-жёлтых
1) 9*3=27 (шариков красных)
ответ: 27 красных шариков было.

Если чего не поняла , Добавь в друзья) Объясню по лучше)))
4,7(50 оценок)
Ответ:
khamidova3053
khamidova3053
05.11.2021
А) - Строительство Эйфелевой башни.
ДАНО
Z = 2500 шт - заклёпок
R = 250 чел - рабочих
n = ? - сколько каждый рабочий
РЕШЕНИЕ
Частное двух чисел находим делением
n = Z : R = 2500 : 250 = 10 шт/чел - каждый рабочий - ОТВЕТ
Надо понимать, что не все рабочие клепали эти заклёпки.
Б) - Высота МГУ.
ДАНО
М/Е = 4/5 - отношение высот
Е = 300 м - высота башни
НАЙТИ
M = ? - высота Университета
РЕШЕНИЕ
Часть от целого находим умножением.
M = 4/5*300 = (300/5)*4 = 60*4 = 240 м - высота МГУ - ОТВЕТ
В) - Число студентов
ДАНО
М = 28000 чел - в МГУ
k = 2/7 - отношение с Кембриджем
НАЙТИ
К =? - сколько в Кембридже
РЕШЕНИЕ
K =M*k = 28000 * 2/7 = 56000/7 = 8000 чел. в Кембридже - ОТВЕТ 
Г) Гондольеры
ДАНО
G = 14000 чел - было
m = 1/28 - изменение.
НАЙТИ
g = ? - сколько стало.
РЕШЕНИЕ
g = G*m = 14000 * 1/28 = 14000/28 = 500 чел. стало - ОТВЕТ
Д) Время движения по каналу
ДАНО
S = 4 км = 4000 м - длина канала
V1 = 120 м/мин - скорость первого
V2 = 130 м/мин - скорость второго
Tc = ? - время встречи
РЕШЕНИЕ
1) Vc = V1 + V2 = 120 +130 = 250 м/мин - скорость сближения
2) Tc = S:Vc = 4000 : 250 = 16 мин - время встречи - ОТВЕТ
4,8(44 оценок)
Новые ответы от MOGZ: Математика
logo
Вход Регистрация
Что ты хочешь узнать?
Спроси Mozg
Открыть лучший ответ