М
Молодежь
К
Компьютеры-и-электроника
Д
Дом-и-сад
С
Стиль-и-уход-за-собой
П
Праздники-и-традиции
Т
Транспорт
П
Путешествия
С
Семейная-жизнь
Ф
Философия-и-религия
Б
Без категории
М
Мир-работы
Х
Хобби-и-рукоделие
И
Искусство-и-развлечения
В
Взаимоотношения
З
Здоровье
К
Кулинария-и-гостеприимство
Ф
Финансы-и-бизнес
П
Питомцы-и-животные
О
Образование
О
Образование-и-коммуникации
marusi220
marusi220
23.09.2022 18:29 •  Математика

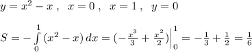
Найдите площадь фигуры,ограниченной линиями: x=1 , x=0, y=o, y=x²-x

👇
Ответ:
dghtf
dghtf
23.09.2022
y=x^2-x\; ,\; \; x=0\; ,\; \; x=1\; ,\; \; y=0\\\\S= -\int\limits^1_0 {(x^2-x)} \, dx =(- \frac{x^3}{3} + \frac{x^2}{2} )\Big |_0^1=- \frac{1}{3} + \frac{1}{2}= \frac{1}{6}
4,4(86 оценок)
Открыть все ответы
Ответ:
322pussy322
322pussy322
23.09.2022
Длина = 15 см
Высота 15 х 0,6 = 9 см
Ширина 9 х 0,8 = 7,2 см
Параллелепипед это объемная фигура, такой брусочек. У параллелепипеда четыре длинных стороны и два торца. Две стороны одинаковы и площадь находим по длине и ширине, две другие тоже одинаковы и площадь находим по длине и высоте. Площадь торцов находим по ширине и высоте.
Находим площадь одной стороны брусочка
15 х 9 = 135 см2
(их две, значит 135 х 2 = 270 см2)
Находим другую сторону
15 х 7,2 = 108 см2
(108 х 2 = 216 см2)
Находим торец
9 х 7,2 = 64,8 см2
(64,8 х 2 = 129,6 см2)
Складываем площади всех сторон и получаем площадь полной поверхности параллелепипеда
270 + 216 + 129,6 = 615,6 см2
Как то так!
4,6(27 оценок)
Ответ:
qhahz
qhahz
23.09.2022

Пошаговое объяснение:

1) (-Б;+Б)

2)y'=-x^3+2x=-x(x^2-2),   y'=0,  -x(x^2-2)=0,  x=0,  x^2=2,  x=-V2,  

x=V2  (V2 - корень из 2),     3) три точки:  -V2,  0,  V2

4)___+__[-V2]___-___[0]___+___[V2]___-___ y'

  возр.   max   убыв.   min   возр.  max  убыв    у

5) y(-V2)=- 1/4*(-V2)^4+(-V2)^2=-1+2= 1

y(V2)=1

y(0)=0

6) НА  оси ОХ отметить точки  -V2=~-1,4,  0  и V2=~1,4  и

отметить значения функции в этих точках, функция четная,

симметрично оси ОУ ,  можно взять дополнит. точки х=+-2

и найти значения функции в этих точках

4,8(44 оценок)
Это интересно:
logo
Вход Регистрация
Что ты хочешь узнать?
Спроси Mozg
Открыть лучший ответ