М
Молодежь
К
Компьютеры-и-электроника
Д
Дом-и-сад
С
Стиль-и-уход-за-собой
П
Праздники-и-традиции
Т
Транспорт
П
Путешествия
С
Семейная-жизнь
Ф
Философия-и-религия
Б
Без категории
М
Мир-работы
Х
Хобби-и-рукоделие
И
Искусство-и-развлечения
В
Взаимоотношения
З
Здоровье
К
Кулинария-и-гостеприимство
Ф
Финансы-и-бизнес
П
Питомцы-и-животные
О
Образование
О
Образование-и-коммуникации
wektorwrt12345
wektorwrt12345
22.05.2022 22:08 •  Математика

Количество целых решений неравенства x^7|x^2-9x+8|< =0, на промежутке [0; 7], равно ?

👇
Ответ:
дашуля296
дашуля296
22.05.2022
x^7\cdot|x^2-9x+8| \leq 0

Рассмотрим функцию f(x)=x^7\cdot|x^2-9x+8|
Область определения: D(f)=(-\infty;+\infty)

Приравниваем функцию к нулю

x^7\cdot|x^2-9x+8|=0

Произведение равно нулю, если один из множителей равен нулю
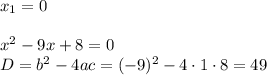
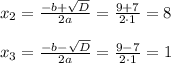
x_1=0\\ \\ x^2-9x+8=0\\ D=b^2-4ac=(-9)^2-4\cdot 1\cdot8=49
Поскольку D>0, то квадратное уравнение имеет 2 корня
x_2= \frac{-b+ \sqrt{D} }{2a} = \frac{9+7}{2\cdot1} =8\\ \\ x_3=\frac{-b- \sqrt{D} }{2a} = \frac{9-7}{2\cdot1}=1

Решение неравенства: x \in (-\infty;0]\cup\{1\}\cup\{8\}

Количество решений на промежутке [0;7] : 2 (так как в промежуток входит 1 и 0 )

ответ: 2.

Количество целых решений неравенства x^7|x^2-9x+8|< =0, на промежутке [0; 7], равно ?
4,4(98 оценок)
Открыть все ответы
Ответ:
annaeychinas
annaeychinas
22.05.2022

1)40 дней

Пошаговое объяснение:

а) составим пропорцию для данной задачи :

5 маляров = 8 дней ;

10 маляров = х дней.

Найдем значение х, учитывая то, что забор, который нужно покрасить - это постоянная величина, а также чем будет больше маляров, тем быстрее покрасят забор, тогда пропорция будет обратная :

х = 8 * 5 : 10 = 4 (дней) - необходимо 10 малярам для покраски забора;

б) 5 маляров = 8 дней ;

1 маляр = х дней .

Аналогично варианту б, пропорция будет обратная :

х = 5 * 8 : 1 = 40 (дней) - необходимо 1 маляру для покраски забора.

240 дней

Пошаговое объяснение:

а) составим пропорцию для данной задачи :

5 маляров = 8 дней ;

10 маляров = х дней.

Найдем значение х, учитывая то, что забор, который нужно покрасить - это постоянная величина, а также чем будет больше маляров, тем быстрее покрасят забор, тогда пропорция будет обратная :

х = 8 * 5 : 10 = 4 (дней) - необходимо 10 малярам для покраски забора;

б) 5 маляров = 8 дней ;

1 маляр = х дней .

Аналогично варианту б, пропорция будет обратная :

х = 5 * 8 : 1 = 40 (дней) - необходимо 1 маляру для покраски забора.

2)12/8=x/10

120=8x

x=120/8

x=15

4,4(63 оценок)
Ответ:
9159360948
9159360948
22.05.2022

Глобализирующееся техногенное (индустриальное и постиндустриальное) развитие социоприродной системы рассматривается во взаимосвязи глобальных процессов и проблем, что выражается в их комплексном социоприродном характере, обусловленности возрастанием научно-технического потенциала социума, творящего техносферу и разрушающего биосферу. Глобальные процессы и проблемы являются закономерным следствием эволюции социоприродной системы от естественных форм жизни к искусственным и формирования техногенного земного мира.

4,5(50 оценок)
Это интересно:
Новые ответы от MOGZ: Математика
logo
Вход Регистрация
Что ты хочешь узнать?
Спроси Mozg
Открыть лучший ответ