М
Молодежь
К
Компьютеры-и-электроника
Д
Дом-и-сад
С
Стиль-и-уход-за-собой
П
Праздники-и-традиции
Т
Транспорт
П
Путешествия
С
Семейная-жизнь
Ф
Философия-и-религия
Б
Без категории
М
Мир-работы
Х
Хобби-и-рукоделие
И
Искусство-и-развлечения
В
Взаимоотношения
З
Здоровье
К
Кулинария-и-гостеприимство
Ф
Финансы-и-бизнес
П
Питомцы-и-животные
О
Образование
О
Образование-и-коммуникации
psossl
psossl
13.09.2022 16:37 •  Математика

Прямая y=3x-1 параллельна касательной к графику функции y=x^2+7x-2 найдите абсциссу точки касания

👇
Ответ:
макс2996
макс2996
13.09.2022
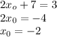
Пусть x_{o} - точка касания
f'(x_o)=k
По условию k = 3 (берем в формуле прямой у=3х-1 коэффициент при х)
Ищем производную f ' (x) = 2x + 7.
Для вычисления абсциссы точки касания получаем уравнение:
2x_o+7=3\\ 2x_0=-4\\ x_0=-2
ответ: -2 
4,6(6 оценок)
Открыть все ответы
Ответ:
g116663
g116663
13.09.2022
В задаче используем рисунок  в приложении. Чтобы он был больше похож на план комнаты изобразим на нём дверь и окно.
Масштаб на планах (картах, чертежах) записывают тремя разными
1 - численный масштаб -  отношение размеров на плане и в действительности в одинаковых единицах длины.
Например: М = 1 : 100 - размеры на плане уменьшены в 100 раз. 
2 - именованный масштаб - указано отношение в разных единицах длины.
Например: В 1 см - 1 м. Здесь словами записано отношение = 1 см = 100 см.
3 - на больших картах используют линейный масштаб - небольшой отрезок линейки с дополнительными делениями и указанием размера единичного отрезка.
Нередко на планах  показывают ещё и направление сторон света - это удобно, например, на планах квартир - можно узнать на какую сторону выходят окна.
РЕШЕНИЕ
Размер клетки в тетради - 5 мм.но для более точных расчетов понадобится оцифрованная линейка (с делениями).
Измеряем размеры сторон прямоугольника в миллиметрах и умножаем на число обратное  масштабу - не делим на 1/100, у умножаем на 100. 
Длина  - 50 мм * 100 = 5000 мм = 500 см = 5 м - длина комнаты
Ширина - 30 мм *100 = 3 м - ширина комнаты.
Измерим ширину окна - 13 мм * 100 = 1300 мм = 130 см - окно.
Измерим ширину двери на плане - 9 мм * 100 = 900 мм - 90 см - дверь.
На рисунке 1.7 изображен план комнаты в масштабе 1: 100.найдите длину и ширину комнаты (картинки нет
4,4(42 оценок)
Ответ:
artur17499
artur17499
13.09.2022
К началу средневековья некоторые материки, моря, острова и даже океаны так и оставались не открытыми. Пик освоения земли человеком пришелся на эпоху Великих географических открытий.

Именно тогда были открыты такие земли как Северная Америка Австралия, Южная Америка, а также Тихий океан. Новые территории манили жителей Европы своими природными богатствами – материки постепенно заселялись переселенцами.

Преимущественно переселенцы селились на плодородных землях: в горных регионах, проживали аборигены. Освоение гор стало необходимым с началом расцвета промышленного производства.

К концу 19 века люди заселили даже труднодоступные области, что было обусловлено развитием производства и транспортной системы. 
4,8(39 оценок)
Новые ответы от MOGZ: Математика
logo
Вход Регистрация
Что ты хочешь узнать?
Спроси Mozg
Открыть лучший ответ