М
Молодежь
К
Компьютеры-и-электроника
Д
Дом-и-сад
С
Стиль-и-уход-за-собой
П
Праздники-и-традиции
Т
Транспорт
П
Путешествия
С
Семейная-жизнь
Ф
Философия-и-религия
Б
Без категории
М
Мир-работы
Х
Хобби-и-рукоделие
И
Искусство-и-развлечения
В
Взаимоотношения
З
Здоровье
К
Кулинария-и-гостеприимство
Ф
Финансы-и-бизнес
П
Питомцы-и-животные
О
Образование
О
Образование-и-коммуникации
532настя43510
532настя43510
17.10.2021 00:50 •  Математика

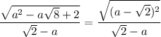
Если а > 2, то выражение корень{a^2-a *корень{8}+2}/{корень{2}-a} можно к виду

👇
Ответ:
DasyaSay
DasyaSay
17.10.2021
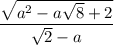
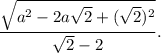
\dfrac{ \sqrt{a^2-a \sqrt{8}+2 } }{ \sqrt{2} -a}. Представим данное выражение в виде \dfrac{ \sqrt{a^2-2a \sqrt{2}+(\sqrt{2})^2 } }{\sqrt{2}-2}. Применив формулу сокращённого умножения (a-b)^2=a^2-2ab+b^2, получим \dfrac{ \sqrt{a^2-a \sqrt{8} +2} }{\sqrt{2}-a}= \dfrac{ \sqrt{(a-\sqrt{2})^2} }{\sqrt{2}-a}. Используя свойство степени \sqrt{a^2} =|a|, получим \displaystyle \frac{ |a-\sqrt{2}| }{\sqrt{2}-a}=- \frac{|a-\sqrt{2}|}{a-\sqrt{2}}

Поскольку a>2, то \displaystyle \frac{ \sqrt{a^2-a\sqrt{8}+2} }{\sqrt{2}-a}=- \frac{a-\sqrt{2}}{a-\sqrt{2}} =-1

ответ: -1.
4,7(95 оценок)
Открыть все ответы
Ответ:
Tomi200
Tomi200
17.10.2021

                                                 Задача 1

1.120-15%

    х-100%

х=120*100/15= 800км- намеченный путь

2. 100-24=76% - осталось засеять

45,6-76%

х     -100% 

х=45,6*100/46= 60 а- площадь всего поля

                                      Задача 2

250:5=50 деталей приходится на 1%

50х100%=5000 деталей план изготовления деталей

5000+250=5250 деталей изготовила бригада
 

                                       Задача 3

1) 760:100*30=228 (м)-30% задания

2)760:100*50=380(м)-50% задания или же 760:2=380(м), т.к. 50% - это половина

3)760:100*10=76(м)-10% задания

4,4(60 оценок)
Ответ:
arina1238
arina1238
17.10.2021

До порога одна дорога, а за порог — семь дорог.

Для друга и семь верст не околица.

Где Макар побывал, семь лет рыба не ловится.

Загадка, разгадка, да семь верст правды.

За семь вёрст киселя хлебать

Семь раз отмерь, один раз отрежь

Один пашет, семеро руками машут.

Семь пятниц на неделе

Деревня на семи кирпичах построена.

Житье хорошее: семерых в один кафтан согнали

Седьмая вода на киселе

Семь бед – один ответ

Дожидай год и семь суббот.

Рубить семерым – а топор один.

Семья – семь я.

Делай свое дело за семерых, а слушайся одного!

Из поповского рукава семеро штанов выходит.

У семи нянек дитя без глазу.

Семи пядей во лбу.

Ему семерых посади — всех заврет.

Для бешеной собаки семь верст не крюк.

Дай Бог нашему сидню семеро ног.

Семеро с ложкой – один с сошкой.

Ехал не путем, погонял кулаком: куда ни поедет, семи верст не доедет.

Семь верст до небес.

Сам не дерусь – семерых боюсь.

Из семи печей хлебы едал.

К милому и семь верст не околица.

Как у тещи зять в гостях — за семь верст заезжают; как у свояка свояк в гостях — за семь верст объезжают.

4,5(65 оценок)
Новые ответы от MOGZ: Математика
logo
Вход Регистрация
Что ты хочешь узнать?
Спроси Mozg
Открыть лучший ответ