М
Молодежь
К
Компьютеры-и-электроника
Д
Дом-и-сад
С
Стиль-и-уход-за-собой
П
Праздники-и-традиции
Т
Транспорт
П
Путешествия
С
Семейная-жизнь
Ф
Философия-и-религия
Б
Без категории
М
Мир-работы
Х
Хобби-и-рукоделие
И
Искусство-и-развлечения
В
Взаимоотношения
З
Здоровье
К
Кулинария-и-гостеприимство
Ф
Финансы-и-бизнес
П
Питомцы-и-животные
О
Образование
О
Образование-и-коммуникации
MiyaGi228
MiyaGi228
20.01.2021 23:05 •  Математика

10! число,сколькымй вариантоми можно получить умножением натуральных чисел a и b,так что b было кратное a.

👇
Ответ:
yuliko13
yuliko13
20.01.2021
Разложим число 10! на простые множители.
10!=2*3*4*5*6*7*8*9*10=2^8*3^4*5^2*7
Соответственно
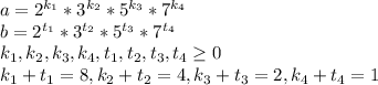
a=2^{k_1}*3^{k_2}*5^{k_3}*7^{k_4}\\b=2^{t_1}*3^{t_2}*5^{t_3}*7^{t_4}\\k_1,k_2,k_3,k_4,t_1,t_2,t_3,t_4\geq 0\\k_1+t_1=8, k_2+t_2=4, k_3+t_3=2, k_4+t_4=1
И так как b кратно a, то
t_1\geq k_1, t_2\geq k_2, t_3\geq k_3, t_4\geq k_4

Отсюда

0 \leq k_1 \leq 4, 0\leq k_2 \leq 2, 0 \leq k_3 \leq 1, k_4=0
Вариантов различных значений
Причем все значения из указанных промежутков подходят.

k_1 может принимать 5 различных значений
k_2 - 3
k_3 - 2
k_4 - 1

Итого различных значений числа a:
5 * 3 * 2 * 1 = 30

Число b определяется по числу a однозначно, a*b = 10! (по построению), b кратно a (по построению, показано выше)

ответ: 30 вариантов
4,6(15 оценок)
Открыть все ответы
Ответ:

Извините в столбик не смогу так как я с компьютора

Пошаговое объяснение:

(23,79 : 7,8 - 6,8 : 17) * 3,04  -2,04 * 0,85=5,1136

1) 23,79 : 7,8 = 3,05

2) 6,8 : 17 = 0,4

3) 3,05-0,4 = 2,65

4) 2,65*3,04 = 8,056

5) 8,056-2,04 = 6,016

6) 6,016*0,85=5,1136

(15,36-4,36*(20,74:6,8-7,6:19))-0,25=20,42

1. 20,74:6,8=3,05

2. 7,6:1,9=4

3. 3,05-4=-0,95

4. 4,36*(-0,95)=-5,31

5.15,36-(-5,31))=20,67

6. 20,67-0,25=20,42

((3,2+0,32):0,1-(50-7,2)*0,1)*100=3092

1) 3,2+0,32=3,52

2)3,52:0,1=35,2

3)50-7,2=42,8

4)42,8*0.1=4,28

5)35,2-4,28=30,92

6)30,92*100=3092

( (4,3 - 1,08) : 0,1 + (40-8,4) * 0,1 ) * 100 = 3536

1) 4,3 - 1,08 = 3,22

2) 40 - 8,4 = 31,6

3) 3,22 : 0,1 = 32,2

4) 31,6 * 0,1 = 3,16

5) 32,2 + 3,16 = 35,36

6) 35,36 * 100 = 3536

4,7(49 оценок)
Ответ:
viktordro95
viktordro95
20.01.2021

ответ:Берілген тапсырмалардың біруін таңдап, жазба жұмысын орындаңыз. Орфографиялық нормаларға сай жазып,қосымшаларды дұрыс жалғаңыз, сөйлем соңында қойылатын тыныс белгілерін орынды қолданыңыз.

1.Абайды оқы, таңырқа!

Сіздер сабақта Абай туралы ақпаратпен таныстыңыздар. Мұғалім Абайдың өмірбаянын жазуды тапсырды. Өмірбаян стилін сақтап жазыңыз.

Пошаговое объяснение:

Берілген тапсырмалардың біруін таңдап, жазба жұмысын орындаңыз. Орфографиялық нормаларға сай жазып,қосымшаларды дұрыс жалғаңыз, сөйлем соңында қойылатын тыныс белгілерін орынды қолданыңыз.

1.Абайды оқы, таңырқа!

Сіздер сабақта Абай туралы ақпаратпен таныстыңыздар. Мұғалім Абайдың өмірбаянын жазуды тапсырды. Өмірбаян стилін сақтап жазыңыз.

4,8(40 оценок)
Это интересно:
Новые ответы от MOGZ: Математика
logo
Вход Регистрация
Что ты хочешь узнать?
Спроси Mozg
Открыть лучший ответ