М
Молодежь
К
Компьютеры-и-электроника
Д
Дом-и-сад
С
Стиль-и-уход-за-собой
П
Праздники-и-традиции
Т
Транспорт
П
Путешествия
С
Семейная-жизнь
Ф
Философия-и-религия
Б
Без категории
М
Мир-работы
Х
Хобби-и-рукоделие
И
Искусство-и-развлечения
В
Взаимоотношения
З
Здоровье
К
Кулинария-и-гостеприимство
Ф
Финансы-и-бизнес
П
Питомцы-и-животные
О
Образование
О
Образование-и-коммуникации
kadenets
kadenets
13.11.2020 18:26 •  Математика

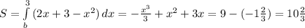
Вычислить площадь фигуры ограниченной линиями y=x^2 и y=2x+3

👇
Ответ:
Прямая выше параболы -  разность функции в расчете.
S = \int\limits^3_b {(2x+ 3-x^2)} \, dx = - \frac{x^3}{3}+x^2+3x =9 - (-1 \frac{2}{3})=10 \frac{2}{3}
ОТВЕТ 10 2/3   (10,667)

Вычислить площадь фигуры ограниченной линиями y=x^2 и y=2x+3
4,6(16 оценок)
Открыть все ответы
Ответ:
vikavp2
vikavp2
13.11.2020

1. Определим массу металлолома, собранного 6-А классом, если известно, что они собрали 3/8 от 264 кг металлолома:

264 * 3/8 = 33 * 3 = 99 кг.

2. Теперь определим, какое количество приходится на остальные два класса, которые тоже собирали металлолом, для этого отнимем от массы всего собранного металлолома, вес металлолома, собранного 6-А классом:

264 - 99 = 165 кг.

3. По условию задачи 6-Б собрал 7/15 от 165 кг, вычислим и это значение:

165 * 7/15 = 11 * 7 = 77 кг.

4. Наконец, выясним массу металлолома, что собрал 6-В класс, отняв от всего собранного металлолома вес того металлолома, что собрали 6-А и 6-Б классы:

264 - 99 - 77 = 165 - 77 = 88 кг.

ответ: получили, что 6-В класс собрал 88 кг металлолома.

Пошаговое объяснение:

надеюсь тебе:)

4,5(82 оценок)
Ответ:
Kpocav4ik666
Kpocav4ik666
13.11.2020
1)Эпителиальная ткань:
 - не содержит межклеточного вещества;
 - состоит из слоев клеток,плотно прилегающик друг к другу;
 - клетки внешнего эпителиального слоя могут выделять слизь(как у червей,рыб),веществ хитин(как у раков,насекомых)
 - в состав покровного эпителия могут входить несколько слоев омертвевших и ороговевшихклеток;
 - ткань надежно защищает организм;
2)Соединительная ткань:
 - находится под эпителием;
 - входит в состав кожи,соединяя его с мышечной тканью;
 - и кости,и хрящи,и связки,и сухожилия образованы соединительной тканью;
 - в соединительных тканях всех видов содержится много межклеточного вещества;
3)Кровь - это внутренняя среда организма, образованная жидкой соединительной тканью.Состоит из плазмы и форменных элементов:клетой лейкоцитов и постклеточных структур(эритроцитов и тромбоцитов).Циркулирует по системе сосудов под действием силы ритмически сокращающегося сердца.
4)Свойства мышечной ткани:
 - обеспечивает разные виды движений животного;
 - клетки сокращатся,уменьшатся в длину и утолщатся;
 - в клетках мышечной ткани содержится много митохондрий;
5)Нервная клетка состоит из сомы(тела)и аксонов или дендритов(отростков),их может быть 1, 2 или несколько.(нервная клетка называется нейрон).
6)Урастений разлечают четыре основных типа ткани:меристематическую,защитную,основную и проводящую.
7)Мелкие клетки постоянно делятся.
8)камбий.
9)Опорная=волокна,древесина.
10)Сосуды древесины,и ситовидные трубки луба.
4,6(9 оценок)
Это интересно:
Новые ответы от MOGZ: Математика
logo
Вход Регистрация
Что ты хочешь узнать?
Спроси Mozg
Открыть лучший ответ