М
Молодежь
К
Компьютеры-и-электроника
Д
Дом-и-сад
С
Стиль-и-уход-за-собой
П
Праздники-и-традиции
Т
Транспорт
П
Путешествия
С
Семейная-жизнь
Ф
Философия-и-религия
Б
Без категории
М
Мир-работы
Х
Хобби-и-рукоделие
И
Искусство-и-развлечения
В
Взаимоотношения
З
Здоровье
К
Кулинария-и-гостеприимство
Ф
Финансы-и-бизнес
П
Питомцы-и-животные
О
Образование
О
Образование-и-коммуникации
ВаняСуліма
ВаняСуліма
11.10.2020 00:11 •  Математика

Корень из х+1-корень9-х=корень2х-12

👇
Ответ:
shcherboroma
shcherboroma
11.10.2020
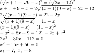
О.Д.З.: \begin {cases} 9-x \geq 0 \\ 2x-12 \geq 0 \\ x+1 \geq 9-x\end {cases} \Leftrightarrow \begin {cases} x \leq 9 \\ x \geq 6 \\ x \geq 4 \end {cases} \Rightarrow x \in [6;9]

( \sqrt{x+1} - \sqrt{9-x} )^2=( \sqrt{2x-12} )^2\\
x+1+9-x-2 \sqrt{(x+1)(9-x)} =2x-12\\
2 \sqrt{(x+1)(9-x)} =22-2x\\ \sqrt{(x+1)(9-x)} =11-x\\
(x+1)(9-x)=(11-x)^2\\ -x^2+8x+9=121-2x+x^2\\ 2x^2-30x+112=0\\ x^2-15x+56=0\\x_1=7,\ x_2=8
Оба корня принадлежат О.Д.З.
ответ: 7; 8.
Корень из х+1-корень9-х=корень2х-12
4,4(98 оценок)
Открыть все ответы
Ответ:
Zheka1163
Zheka1163
11.10.2020
А у меня дома живет кот.
Большой такой, рыжий с хвостом.. . очень хочется про него чего-нибудь монументальное написать.
Потому как кот сам очень даже монументальный.
У него нет имени. Когда он ведет себя хорошо, его зовут рыжий, а вообще его почти всегда зовут вонючка. Потому что ведет он себя всегда очень своеобразно.
Ну на пример в свои 7 или скока то там лет он любит повисеть под потолком в коридоре, забравшись туда по чудесным обоям. Вообще кот очень креативный, потому как ремонт в кухне он чудесно раскрасил своими когтями на свой кошачий лад.. .
А я каждый раз сидя в кухне смотрю на уголок обоев под потолком, где отпечатались его коготки и размышляю.. . наверное он в детстве мечтал быть летчиком, ну или в крайнем случае промышленным альпинистом.. .
Когти его это вообще отдельная песня. Стричь их он не дает ни при каких обстоятельствах. А я, являя собой, девушку не обладающую особыми навыками по скручиванию котов в бараний рог, боюсь подступиться к этому 10 килограмовому чудовищу шипящему и царапающемуся.
Так вот он и ходит без маникюра. Зато как ходит! Скорее даже сказать не ходит, а это, выполняет величайший по своей масштабности и скорости забег от кухни до моего дивана, через коридор.. . Причем что странно на поворотах его не заносит. Ночью. По ламинату. Когтями. Тыдыдыдыдыдын!
А еще он очень любит поесть. И поспать в моем шкафу. На вещах. Чтобы они потом приобрели до боли знакомый оттенок его рыжеватой шерсти.. .
Про горшок рассказывать не буду. Потому как это наше самое больное место.. . и при разговоре о его горшке меня приходится поднимать из долгого и тяжелого обморока.
А вообще я его люблю.
4,5(16 оценок)
Ответ:
merimargaryan
merimargaryan
11.10.2020
В природе все взаимосвязано. Человек и животные - дети одной природы - матери. Они друг другу. Животные чувствуют заботу, ласку, и владелец отвечать тем же.Собака - первое домашнее животное, которое появилось в течение длительного времени рядом с человеком. Собака, с первого взгляда понимает владельца.Она прикреплена к человеку! Кто их приручил, тот  их босс. Во время войны они много людей. Животные - наши друзья. Они платят вам лояльность. Многим из  животных поставлен памятник.Играет важную роль в нашей жизни дикие животные. Многие из них охотятся, и дают нам  мясо. Но дикие животные не могут охотиться слишком часто .Многие из них занесены в Красную книгу и могут исчезнуть с лица земли. Мы должны защищать дикую природу и заботиться о ней.Животные всегда будут нашими друзьями.
4,8(2 оценок)
Новые ответы от MOGZ: Математика
logo
Вход Регистрация
Что ты хочешь узнать?
Спроси Mozg
Открыть лучший ответ