М
Молодежь
К
Компьютеры-и-электроника
Д
Дом-и-сад
С
Стиль-и-уход-за-собой
П
Праздники-и-традиции
Т
Транспорт
П
Путешествия
С
Семейная-жизнь
Ф
Философия-и-религия
Б
Без категории
М
Мир-работы
Х
Хобби-и-рукоделие
И
Искусство-и-развлечения
В
Взаимоотношения
З
Здоровье
К
Кулинария-и-гостеприимство
Ф
Финансы-и-бизнес
П
Питомцы-и-животные
О
Образование
О
Образование-и-коммуникации
Dashboard18228
Dashboard18228
11.10.2020 00:11 •  Математика

Угол при вершине,противолежащей основанию равнобедренного треугольника равен 150.найдите боковую сторону треугольника,если его площадь равна 121

👇
Ответ:
mira23141
mira23141
11.10.2020
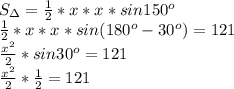
X - боковая сторона равнобедренного треугольника
S_{\Delta} = \frac{1}{2} *x*x*sin150^o\\
 \frac{1}{2} *x*x*sin(180^o-30^o)=121\\
 \frac{x^2}{2} *sin30^o=121\\
 \frac{x^2}{2} * \frac{1}{2} =121
x² = 121·4
x=11·2=22
ответ: 22.
Угол при вершине,противолежащей основанию равнобедренного треугольника равен 150.найдите боковую сто
4,4(68 оценок)
Открыть все ответы
Ответ:
miheeva74
miheeva74
11.10.2020
09.10.1963 г.  - плотина вайонт в италии - вал воды высотой 90 м за несколько минут уничтожил несколько населенных пунктов, погибли более 2000 человек. апричина - грунтовые воды. 07.08.1994 г.  -  тирлянское водохранилище, башкирия, белорецкий район - нештатный сброс воды – затоплено несколько населенных пунктов, погибло около 30 человек. 18.08.2002 г.  - германия, г. виттенберг - наводнение на эльбе -, эвакуировано более 40 000 человек, погибло около 20, почти 30 без вести пропавших. 11.03.2005 г.  -  пакистан, провинция белуджистан, г.пасни - прорыв плотины гэс - затоплено несколько деревень, погибло около 140 человек. 05.10.2007 г.  - вьетнам, провинция тханьхоа - прорвана плотина гэс “кыадат” - затоплено около 5000  домов, погибло более 30 человек. 17.08.2009 г.  - россия - красноярский край,  саяно-шушенской гэс -  поднялся ротор гидроагрегата  -  погибло 75 человек, пострадало 13 человек.
4,6(98 оценок)
Ответ:
Schumka12
Schumka12
11.10.2020

Пусть это число abcd   Если оно делится на 36, то оно делится на 4 и на 9.Сумма его цифр 18, значит оно точно делится на 9. Чтобы число делилось на 4, нужно, чтобы две его последние цифры образовали число делящееся на 4.

т.к. 2000<abcd < 2400, то а=2, b может принимать значения 1, 2 или 3 .

Сумма b+c+d=18-2=16 и d- четное. Рассмотрим случаи

d=0, значит b+c=16, зная что b≤3, а 1≥с≥9, то подходящих вариантов нетd=2, значит b+c=16-2=14, зная что b≤3, а 1≥с≥9, то подходящих вариантов нетd=4, значит b+c=16-4=12, то подходит b=3 c=9,но 94:4.d=6, значит b+c=16-6=10. 1+9 (96 делится на 4), получаем 21962+8 (86 не делится на 4)3+7 (76 делится на 4), получаем 2376d=8, значит b+c=16-8=81+7 (78 не делится на 4)2+6 (68 делится на 4), получаем 22683+5 (58 не делится на 4)

ответ: 2196 или 2268 или 2376

4,4(18 оценок)
Это интересно:
Новые ответы от MOGZ: Математика
logo
Вход Регистрация
Что ты хочешь узнать?
Спроси Mozg
Открыть лучший ответ