М
Молодежь
К
Компьютеры-и-электроника
Д
Дом-и-сад
С
Стиль-и-уход-за-собой
П
Праздники-и-традиции
Т
Транспорт
П
Путешествия
С
Семейная-жизнь
Ф
Философия-и-религия
Б
Без категории
М
Мир-работы
Х
Хобби-и-рукоделие
И
Искусство-и-развлечения
В
Взаимоотношения
З
Здоровье
К
Кулинария-и-гостеприимство
Ф
Финансы-и-бизнес
П
Питомцы-и-животные
О
Образование
О
Образование-и-коммуникации
marisshechka1
marisshechka1
02.10.2022 21:21 •  Математика

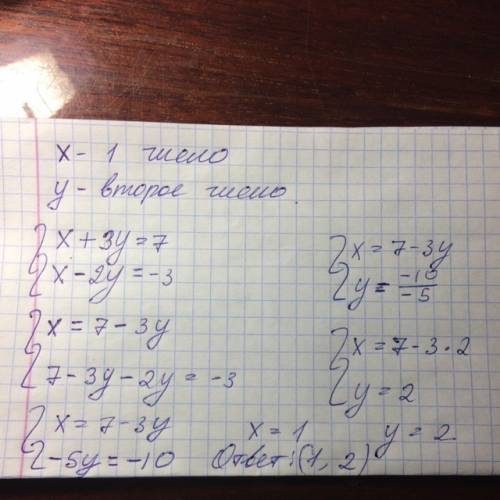
Задуманны два числа если к первому прибавить утроенное второе то получится семь. если из первого вычесть удаленное второе то получится -3.найдите эти числа

👇
Ответ:
12рок1
12рок1
02.10.2022
Держи если у тебя там было написано : "удвоенное".
Задуманны два числа если к первому прибавить утроенное второе то получится семь. если из первого выч
4,6(29 оценок)
Открыть все ответы
Ответ:
den4ik143
den4ik143
02.10.2022

Пошаговое объяснение:

Проведем перпендикуляры к оси n на диаграмме ( рисунок во вложении)  и найдем сколько учеников написали контрольную на

1) оценку 5 -  5 учеников

оценку 4 - 13 учеников

оценку 3 - 10 учеников

оценку 2 - 2 ученика

2) Всего учеников в классе

5+13+10+2= 30 учеников и это 100 %

На оценку 5 написали 5 учеников и это составит

30 уч- 100%

5 уч- х %

х= (5*100)/30=16, (6) ≈17%  учеников написали на 5

На оценку 4 написали 13 учеников и это составит

30 уч.- 100%

13 уч. - х %

х= (13*100)/30=43, (3) ≈43 %  учеников написали на 4


На рисунке 8.25 видео столбчатой диаграммы изображены оценки учеников за контрольную работу по . отв
4,6(80 оценок)
Ответ:
emin77
emin77
02.10.2022

Пошаговое объяснение:

Проведем перпендикуляры к оси n на диаграмме ( рисунок во вложении)  и найдем сколько учеников написали контрольную на

1) оценку 5 -  5 учеников

оценку 4 - 13 учеников

оценку 3 - 10 учеников

оценку 2 - 2 ученика

2) Всего учеников в классе

5+13+10+2= 30 учеников и это 100 %

На оценку 5 написали 5 учеников и это составит

30 уч- 100%

5 уч- х %

х= (5*100)/30=16, (6) ≈17%  учеников написали на 5

На оценку 4 написали 13 учеников и это составит

30 уч.- 100%

13 уч. - х %

х= (13*100)/30=43, (3) ≈43 %  учеников написали на 4


На рисунке 8.25 видео столбчатой диаграммы изображены оценки учеников за контрольную работу по . отв
4,6(95 оценок)
Это интересно:
Новые ответы от MOGZ: Математика
logo
Вход Регистрация
Что ты хочешь узнать?
Спроси Mozg
Открыть лучший ответ