М
Молодежь
К
Компьютеры-и-электроника
Д
Дом-и-сад
С
Стиль-и-уход-за-собой
П
Праздники-и-традиции
Т
Транспорт
П
Путешествия
С
Семейная-жизнь
Ф
Философия-и-религия
Б
Без категории
М
Мир-работы
Х
Хобби-и-рукоделие
И
Искусство-и-развлечения
В
Взаимоотношения
З
Здоровье
К
Кулинария-и-гостеприимство
Ф
Финансы-и-бизнес
П
Питомцы-и-животные
О
Образование
О
Образование-и-коммуникации
Kalibekova1
Kalibekova1
21.07.2020 19:01 •  Математика

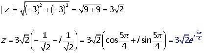
Представить в показательной форме числа: z= -3-3i

👇
Ответ:
Baby1FNAF
Baby1FNAF
21.07.2020
Сначала привел в тригонометрической форме а затем уже в показательной форме
Представить в показательной форме числа: z= -3-3i
4,4(42 оценок)
Открыть все ответы
Ответ:
эрика96
эрика96
21.07.2020
Отзыв о комедии ревизор. я хочу отразить свое впечатление о прочитанной комедии н. в. гоголя «ревизор» . я выбрал это произведение потому, что оно интересное, автор показывает в смешной форме все события происходящие с героями. противопоставляет никчемность господствующей верхушки общества и рабскую покорность крестьянства. я думаю, это произведение основано на саморазоблачении героев. в ней нет положительных персонажей. все действия мотивированы характерами и психологией её героев. образ городничего сквозника - дмухановского представлен грубым, циничным администратором. образ хлестакова - легкомысленного хвастуна, ничтожного и пошлого человека. несколько примеров. мелкий чиновник, который, едучи из петербурга к отцу в деревню, проиграл на пути все свои деньги и уже две недели живёт в долг в гостинице одного уездного города, без средств продолжать своё путешествие. в этом уездном городе ревизора, который должен приехать инкогнито. городничий, почтмейстер, судья, попечитель богоугодных заведений и прочие чиновники, все крепко нечистые на руку, со страху, а точнее — по глупости принимают хлестакова за этого ревизора. они водят его по городу, потчевают и ему денег взаймы, чтобы увлечь страшного человека в свою пользу и заставить его смотреть сквозь пальцы на упущения и беспорядки по их службе. видя их готовность одолжать деньгами, хлестаков так разлакомился на взятках, что уже не спрашивает приходящих к нему, кто они таковы, и с первого слова требует с них подати. два помещика, два провинциальных оригинала, живущие в уездном городе и неприкосновенные к службе, пётр иванович добчинский и пётр иванович бобчинский, являются к нему с почтением в самую минуту этого грабительского расположения духа, и здесь-то есть сцена высочайшей комедии. автор нигде не называет губернии, в которой лежит его уездный город: поэтому город может находиться всюду. чиновники города слишком легкомысленно уверяются в том, что хлестаков есть тот самый ревизор, которого они . как персонаж хлестаков запомнился мне больше, но не как положительный герой, а как хитрый, сам по сути своей ничем не отличающийся от обманутых чиновников. «ревизор» собрал все плохое в россии, все несправедливости, какие делаются в тех местах и тех случаях, где больше всего требуется от человека справедливость и порядочность. административные злоупотребления в местах отдалённых и мало посещаемых существуют в целом мире, и нет никакой достаточной причины приписывать их одной россии. над этими вопросами и заставила задуматься меня эта книга.
4,6(14 оценок)
Ответ:
ERESYUR
ERESYUR
21.07.2020

1)Исходя из рисунка, выбросы Промышености, комунального хозяйства, транспорта и других источников равны 60 млн тонн, 40 млн тонн, 35 млн тонн и 20 млн тонн соответственно, то

Узнаем, на сколько млн тонн вклад уменьшится, если каждый источник сократили на 10%:

60*10=60*0.1=6(млн тонн)

40*10%=40*0.1=4(млн тонн)

35*10=35*0.1=3.5(млн тонн)

20*10=20*0.1=2(млн тонн)

Теперь узнаем, сколько млн тонн выбросов в 2010 году:

(60+40+35+20)-(6+4+3.5+2)=155-15.5=139.5(млн тонн)

Теперь пропорция:

155 млн тонн = 100%

139.5 млн тонн = х%

х=139.5*100/155=90%

100%-90%=10%

Значит, На 10% снизились бы в процентном отношении совокупные выбросы углекислого газа в 2010 году, если бы вклад каждого из источников сократился на 10%

2)Исходя из рисунка, в 1990 году выбросы  углекислого газа составляло 30 млн тонн. То, значит

30*20%=30*0.2=6(млн тонн) - выбрасывают водный и воздушный транспорты.

2+1=3(части)

6/3=2(млн тонн) - одна часть

2*1=2(млн тонн) - составляют выбросы водного транспорта

Значит, если в 1990 году соотношение выбросов углекислоты воздушным и водным транспортом составляло 2:1, а их общая доля в выбросах транспорта - 20 %, то  выбросы водного транспорта (в млн. т) равны 2 млн тонн

Пошаговое объяснение:

4,8(10 оценок)
Это интересно:
Новые ответы от MOGZ: Математика
logo
Вход Регистрация
Что ты хочешь узнать?
Спроси Mozg
Открыть лучший ответ