М
Молодежь
К
Компьютеры-и-электроника
Д
Дом-и-сад
С
Стиль-и-уход-за-собой
П
Праздники-и-традиции
Т
Транспорт
П
Путешествия
С
Семейная-жизнь
Ф
Философия-и-религия
Б
Без категории
М
Мир-работы
Х
Хобби-и-рукоделие
И
Искусство-и-развлечения
В
Взаимоотношения
З
Здоровье
К
Кулинария-и-гостеприимство
Ф
Финансы-и-бизнес
П
Питомцы-и-животные
О
Образование
О
Образование-и-коммуникации
puh9999
puh9999
08.11.2020 14:53 •  Математика

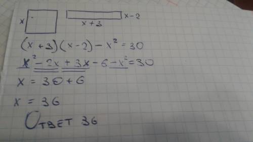
Одну из сторон квадрата увеличили на 3 см , а другую уменьшили на 2 см и получили прямоугольник площадь которого на 30см2 больше площади квадрата. найдите сторону этого квадрата

👇
Ответ:
ka931
ka931
08.11.2020
Вот
Только оформи, как у вас в классе делают.
Одну из сторон квадрата увеличили на 3 см , а другую уменьшили на 2 см и получили прямоугольник площ
4,7(51 оценок)
Открыть все ответы
Ответ:
Alina12345611109
Alina12345611109
08.11.2020

5 см и 15 см.

Пошаговое объяснение:

Пусть ширина первоначального квадрата равна х см, тогда по условию его длина равна 3х см, а площадь S = x•3x = 3x² см².

После изменений длина стала равной (3х ,- 5) см,, ширина стала равной (х + 4) см, площадь S1 = (3x - 5)(x + 4) см².

Зная,, что площадь увеличится на 15 см², составим и решим уравнение:

S1 - S = 15, то есть

(3x - 5)(x + 4) - 3x² = 15

3x² + 12х - 5х - 20 - 3x² = 15

7х = 20 + 15

7х = 35

х = 35 : 7

х = 5

5 см - ширина первоначального прямоугольника

5•3 = 15 (см) - длина первоначального прямоугольника

4,7(13 оценок)
Ответ:
Karcat2306
Karcat2306
08.11.2020

1. а) 25а²+20а+4

б) 16-9b²

в) 27+х³

2. а) (6х-7у)(6х+7у)

б) (а-3)²

в) 3у(9у³-х)

г) а(5а-2b)

2хз

3)24b^2-18b=20. 6b+(4b-3)=0. b*(4b-3)=0. b=0. 4b-3=0. b1=0. b2=3/4.

4)Для решения уравнения, необходимо сначала в левой его части выделить полный квадрат относительно неизвестной х и неизвестной у . Рассмотрим левую часть уравнения:

x^2 + y^2 - 2x - 4y + 5 = x^2 - 2х + y^2 - 4у + 5 =

= (x^2 - 2х + 1) - 1 + (y^2 - 4у + 4) - 4 + 5 =

= (х - 1)^2 + (у - 2)^2 .

Возвращаемся к уравнению:

(х - 1)^2 + (у - 2)^2 = 0 .

Воспользуемся фактом, что сумма квадратов нескольких выражений равняется нулю только в случае, когда каждое из выражений равняется нулю. То есть

х - 1 = 0, х = 1 ;

у - 2 = 0, у = 2 .

ответ: 1, 2.

4,6(84 оценок)
Это интересно:
Новые ответы от MOGZ: Математика
logo
Вход Регистрация
Что ты хочешь узнать?
Спроси Mozg
Открыть лучший ответ