М
Молодежь
К
Компьютеры-и-электроника
Д
Дом-и-сад
С
Стиль-и-уход-за-собой
П
Праздники-и-традиции
Т
Транспорт
П
Путешествия
С
Семейная-жизнь
Ф
Философия-и-религия
Б
Без категории
М
Мир-работы
Х
Хобби-и-рукоделие
И
Искусство-и-развлечения
В
Взаимоотношения
З
Здоровье
К
Кулинария-и-гостеприимство
Ф
Финансы-и-бизнес
П
Питомцы-и-животные
О
Образование
О
Образование-и-коммуникации
Paris99
Paris99
11.12.2021 23:33 •  Математика

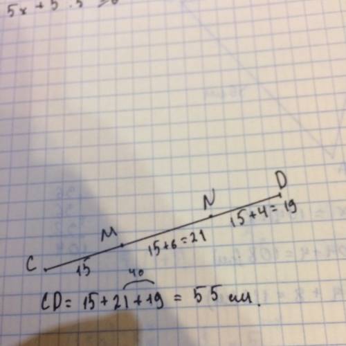
На о резке cd отмечены точки m и n так,что точка m лежит между точками c и n.найдите длину отрезка cd,если cam =15 см,mn больше cm на 6 см,а cm меньше nd на 4 см

👇
Ответ:
Т1216
Т1216
11.12.2021
Вот держите............
На о резке cd отмечены точки m и n так,что точка m лежит между точками c и n.найдите длину отрезка c
4,4(10 оценок)
Открыть все ответы
Ответ:
batareya666
batareya666
11.12.2021
Отличительными внешними признаками голландской картины являются^ ее небольшие размеры и продиктованная этим мелкофигурность, чрезвычайная детализация и тщательность письма. Небольшой, кабинетный размер голландских картин обусловлен их предназначением : они являлись в основном предметом украшения скромных бюргерских домов. Заказов на большие картины для церквей голландские художники не получали. Крупных аристократов, владевших дворцами, которые нужно было украшать, здесь было значительно меньше, чем в других странах Европы.C
4,8(42 оценок)
Ответ:
keke717
keke717
11.12.2021
А) 2 м 40 см = 240 см
    240 : 4 = 60 см - одна сторона квадрата
    60 * 60 = 3600 см ² - площадь

б) площадь = сторона * сторона
    квадрат - стороны равны
   решение:
     или √2500 = 50
или нужно найти число, которое при умножении на само себя даст 2500.
(отбросим нули и из таблицы умножения знаем, что 5*5=25)
значит сторона = 50 см

в) длина вокруг - это периметр
    периметр - это сумма всех сторон (у квадрата они равны)
  решение: 120 : 4 = 30 м - одна сторона
                  30 * 30 = 900 м² - площадь
4,7(6 оценок)
Новые ответы от MOGZ: Математика
logo
Вход Регистрация
Что ты хочешь узнать?
Спроси Mozg
Открыть лучший ответ