М
Молодежь
К
Компьютеры-и-электроника
Д
Дом-и-сад
С
Стиль-и-уход-за-собой
П
Праздники-и-традиции
Т
Транспорт
П
Путешествия
С
Семейная-жизнь
Ф
Философия-и-религия
Б
Без категории
М
Мир-работы
Х
Хобби-и-рукоделие
И
Искусство-и-развлечения
В
Взаимоотношения
З
Здоровье
К
Кулинария-и-гостеприимство
Ф
Финансы-и-бизнес
П
Питомцы-и-животные
О
Образование
О
Образование-и-коммуникации
DashaV19022001
DashaV19022001
28.05.2022 14:21 •  Математика

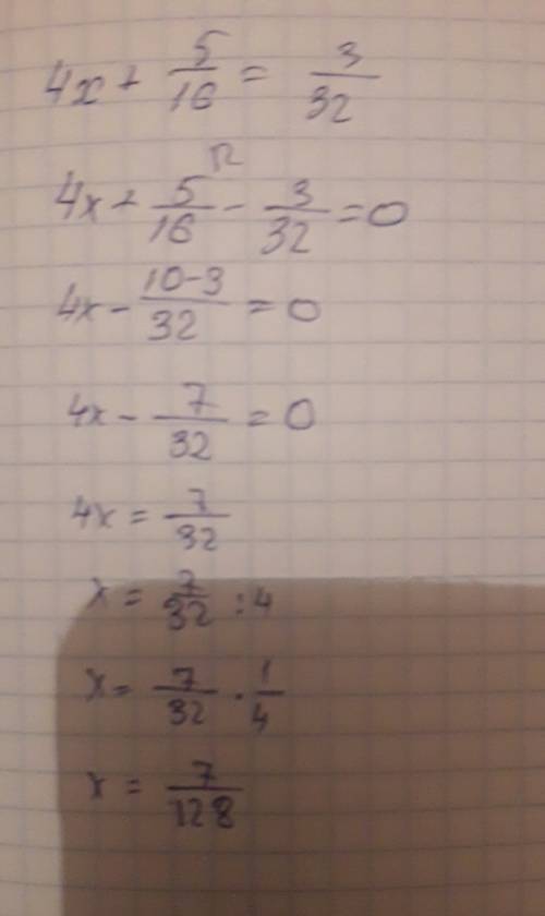
4x+5/16=3/32 решить уравнение(без минусовых чисел)

👇
Ответ:
2345metal6789
2345metal6789
28.05.2022
Решила задачу без минусовых чисел
4x+5/16=3/32 решить уравнение(без минусовых чисел)
4,5(84 оценок)
Открыть все ответы
Ответ:
Dragon4ik341234
Dragon4ik341234
28.05.2022

в 16 веке еще больше начинает развиваться фольклорный жанр . в культуру общества входят песни, в которых воспевались значительные для народа события либо личности.

значительным прорывом в развитии также можно считать возникновение публицистики как жанра. писатели в своих произведениях начинают между строк выражать свое мнение о государственном строе россии, о том, какие ошибки допускают цари в государством.

в середине 16 века было создано публицистическое произведение «беседа валаамских старцев», в котором автор выступает против вторжения политики церкви в светскую жизнь.

традиции летописи вытесняют - сочинения. альтернативой «послания владимира мономаха детям» становится произведение монаха сильвестра «домострой»: автор дает советы, как правильно воспитывать детей и обращаться с женой, каким образом вести хозяйство.

4,7(82 оценок)
Ответ:
lenabogdanv1
lenabogdanv1
28.05.2022
Есть ещё один предмет-
Дарит он от Бога Свет,
Узнаём мы о Душе,о Любви
              и о Добре

Что такое быть безгрешным?
Как любить и как прощать?
Кто зовётся милосердным?
Как учиться сострадать?

Есть Писание Святое-
Слово Сущего Отца
Откровение Христово-
Вразумляются сердца!

Учит нас учитель в школе
Православие любить
И когда мы в пятом будем-
Знания не позабыть

Всегда помнить о Христе,
Что воскрес из мёртвых,
Всех любить и добрым быть
До конца всей жизни

Ангел Добрый на уроках
Присутствовал,любя,
Чтоб учителя частичка
Осталась с Вами навсегда!

Вы смотрите на Него
В Божественном покое,
Чтобы помнили всегда
 О родной вы школе!
Людмила Кабанова

"Святый Крепкий наш" писать
Тонким перышком в тетрадь
Учат в школе, учат в школе, учат в школе.Благодать преумножать,
Перед Господом дрожать
Учат в школе, учат в школе, учат в школе.У Христа просить за мир,
По слогам читать псалтырь
Учат в школе, учат в школе, учат в школе.Жития учить святых 
И по датам помнить их
Учат в школе, учат в школе, учат в школе.И не путать никогда 
Палестины города 
Учат в школе, учат в школе, учат в школе.Про огонь мирских утех
И про первородный грех
Учат в школе, учат в школе, учат в школе.Со священником дружить,
С детства верой дорожить
Учат в школе, учат в школе, учат в школе.Крепко Господа любить
И воспитанными быть
Учат в школе, учат в школе, учат в школе.
Леонид Каганов
4,7(93 оценок)
Это интересно:
Новые ответы от MOGZ: Математика
logo
Вход Регистрация
Что ты хочешь узнать?
Спроси Mozg
Открыть лучший ответ