М
Молодежь
К
Компьютеры-и-электроника
Д
Дом-и-сад
С
Стиль-и-уход-за-собой
П
Праздники-и-традиции
Т
Транспорт
П
Путешествия
С
Семейная-жизнь
Ф
Философия-и-религия
Б
Без категории
М
Мир-работы
Х
Хобби-и-рукоделие
И
Искусство-и-развлечения
В
Взаимоотношения
З
Здоровье
К
Кулинария-и-гостеприимство
Ф
Финансы-и-бизнес
П
Питомцы-и-животные
О
Образование
О
Образование-и-коммуникации
LizaShm
LizaShm
09.01.2023 08:58 •  Математика

Найти площадь фигуры, ограниченной линиями y= 2/1+x^2 и y=x^2

👇
Ответ:
viktoriya212
viktoriya212
09.01.2023
Точки пересечения кривой и параболы:

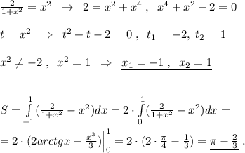
\frac{2}{1+x^2} =x^2\; \; \to \; \; 2=x^2+x^4\; ,\; \; x^4+x^2-2=0\\\\t=x^2\; \; \Rightarrow \; \; t^2+t-2=0\; ,\; \; t_1=-2,\; t_2=1\\\\x^2\ne -2\; ,\; \; x^2=1\; \; \Rightarrow \; \; \underline {x_1=-1\; ,\; \; x_2=1}\\\\\\S=\int \limits _{-1}^1(\frac{2}{1+x^2}-x^2)dx=2\cdot \int\limits _0^1( \frac{2}{1+x^2} -x^2)dx=\\\\=2\cdot (2arctgx-\frac{x^3}{3})\Big |_0^1=2\cdot (2\cdot \frac{\pi}{4}-\frac{1}{3})=\underline {\pi -\frac{2}{3}}\; .
4,5(56 оценок)
Открыть все ответы
Ответ:
gamzat370587
gamzat370587
09.01.2023

Для этого надо найти в какой степени число 10 входит в разложение этого произведения. Так как 10=2*5, а в последовательном произведении всез чисел от 1 до любого натурального n двойка входит в разложение в степени большей чем пятерка, то достаточно найти в какой степени в данное поизведение входят число 5.

Чисел, которые делятся на 5 среди промежутка от 1 до 108 всего [108/5], где через [а] обозначается целая часть числа а. То есть [108/5]=[21+3/5]=21.

Мы учли все числа среди промежутка от 1 до 108, в разложение которых пятерка входит хотя бы один раз и посчитали в каждом таком числе этотразоожение по одному разу. Но есть числа, которые делятся на 25 (то есть пятерка входит в их разложение два раза), а значит мы посчитали не максимальную степень пятерки, на которую делится данное произведение. Таких чисел (которые делятся на 25) в данном промежутке [108/25]=4. Чисел которые раходятся в данном промежутке, и при этом которые делятся на большие степени пятерки не существует, так как 5^3=125>108.

Для того чтоб полностью найти,в какой степени пятерка входит в разоожение данного произведения, надо добавить количество чисел, которые делятся на 5 и на 25 среди данного помежутка. То есть всего будет 21+4=25.

Кстати, данное нахождение, в какой степени в проиведение чисел от 1 до n входит пятерка может быть применимо для любых простых чисел, а само утверждение называется теорема Лежандра.

ответ: 25.

4,5(66 оценок)
Ответ:
Zheka5644
Zheka5644
09.01.2023
1
1*2*..*10 оканчивается 2 нулями,которые дают умножение 2*5*10
2
15*16*...*24 оканчивается 2 нулями,которые дают умножение 15*16*20
3
10*11*...*30 оканчивается 6 нулями
10*11*...*20 оканчиваются 3 нулями,которые дают умножение 10*12*15*20
21*22*30 оканчивается 3 нулями,которые дают умножение 24*25*30
Итого 6 нулей
4
1*2*...10 нулей 2 (2*5*10)
11*12*..*20 нулей 2 (12*15*20)
21*22*...*30 нулей 3 (24*25*30)
31*32*  .40 нулей 2 (32*35*40)
41*42*...*50 нулей 3 (42*45*44*50)
51*52*...*60 нулей 2 (52*55*60)
61*62*   *70 нулей 2 (62*65*70)
71*72*...*80 нулей  3  (72*75*80)
81*82*..*90 нулей  2 (82*85*90)
91*92*...100 нулей 3 (92*95*100)
Итого 24 нуля
4,7(63 оценок)
Это интересно:
Новые ответы от MOGZ: Математика
logo
Вход Регистрация
Что ты хочешь узнать?
Спроси Mozg
Открыть лучший ответ