М
Молодежь
К
Компьютеры-и-электроника
Д
Дом-и-сад
С
Стиль-и-уход-за-собой
П
Праздники-и-традиции
Т
Транспорт
П
Путешествия
С
Семейная-жизнь
Ф
Философия-и-религия
Б
Без категории
М
Мир-работы
Х
Хобби-и-рукоделие
И
Искусство-и-развлечения
В
Взаимоотношения
З
Здоровье
К
Кулинария-и-гостеприимство
Ф
Финансы-и-бизнес
П
Питомцы-и-животные
О
Образование
О
Образование-и-коммуникации
ДанилКаДми
ДанилКаДми
28.10.2021 09:28 •  Математика

Диаметр окружности равен0,9 см .найдите её длину. ответ округлите до сотых.

👇
Ответ:
ник3999
ник3999
28.10.2021
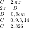
C = 2.\pi.r \\\ 2.r = D \\\ D = 0,9 cm \\\ C = 0,9.3,14 \\\ C = 2,826

I hope i helped you. Have a good day!!
4,5(7 оценок)
Открыть все ответы
Ответ:
AlexeySafronov
AlexeySafronov
28.10.2021
Условия:
Дедушка - в 12р. старше→↓
Внук - в 6 р. моложе  →↓   ←
Отец                            ←
Дедушка+отец+внук=76
Найти:
Дедушка -? лет
Отец -? лет
Сын - ? лет
Решение

Представим возраст внука как 1 часть. Он моложе отца в 6 раз, значит возраст отца в 6 раз больше: 6 частей. Дедушка старше внука в 12 раз, его возраст составит 12 частей. Всего: 1+6+12=19 частей.
В сумме возраст дедушки, отца и сына составляет 76. 19 частей  - это 76 лет. Найдём 1 часть:
1) 76÷19=4 (года) - 1 часть, т.е. возраст сына
2) 4×6=24 (года) - возраст отца
3) 4×12=48 (лет) - возраст дедушки
ответ: возраст дедушки 48 лет, отцу 24 года, сыну 4 года.


Пусть х - возраст сына (внука). Тогда возраст отца составит 6х лет, а дедушки 12х лет. Вместе им 76 лет.
Составим и решим уравнение:
х+6х+12х=76
19х=76
х=76÷19
х=4 (года) - сыну
6х=6×4=24 (года) - отцу
12х=12×4=48 (лет) - дедушке
ответ: дедушке 48 лет, отцу 24 года, а сыну 4 года.
4,8(62 оценок)
Ответ:
sait14
sait14
28.10.2021
Условия:
Дедушка - в 12р. старше→↓
Внук - в 6 р. моложе  →↓   ←
Отец                            ←
Дедушка+отец+внук=76
Найти:
Дедушка -? лет
Отец -? лет
Сын - ? лет
Решение

Представим возраст внука как 1 часть. Он моложе отца в 6 раз, значит возраст отца в 6 раз больше: 6 частей. Дедушка старше внука в 12 раз, его возраст составит 12 частей. Всего: 1+6+12=19 частей.
В сумме возраст дедушки, отца и сына составляет 76. 19 частей  - это 76 лет. Найдём 1 часть:
1) 76÷19=4 (года) - 1 часть, т.е. возраст сына
2) 4×6=24 (года) - возраст отца
3) 4×12=48 (лет) - возраст дедушки
ответ: возраст дедушки 48 лет, отцу 24 года, сыну 4 года.


Пусть х - возраст сына (внука). Тогда возраст отца составит 6х лет, а дедушки 12х лет. Вместе им 76 лет.
Составим и решим уравнение:
х+6х+12х=76
19х=76
х=76÷19
х=4 (года) - сыну
6х=6×4=24 (года) - отцу
12х=12×4=48 (лет) - дедушке
ответ: дедушке 48 лет, отцу 24 года, а сыну 4 года.
4,4(96 оценок)
Новые ответы от MOGZ: Математика
logo
Вход Регистрация
Что ты хочешь узнать?
Спроси Mozg
Открыть лучший ответ