М
Молодежь
К
Компьютеры-и-электроника
Д
Дом-и-сад
С
Стиль-и-уход-за-собой
П
Праздники-и-традиции
Т
Транспорт
П
Путешествия
С
Семейная-жизнь
Ф
Философия-и-религия
Б
Без категории
М
Мир-работы
Х
Хобби-и-рукоделие
И
Искусство-и-развлечения
В
Взаимоотношения
З
Здоровье
К
Кулинария-и-гостеприимство
Ф
Финансы-и-бизнес
П
Питомцы-и-животные
О
Образование
О
Образование-и-коммуникации
marinamelnik19p07421
marinamelnik19p07421
19.03.2022 18:56 •  Математика

Вычислите: а) 1 5/12 + 1/4 - 0,8 б) 1 5/9 * 5/7 * 3,6 с решением.

👇
Ответ:
BanderSap
BanderSap
19.03.2022
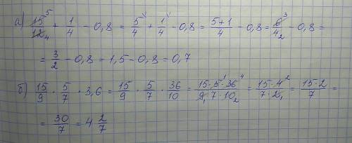
Вычисления в приложенном фото
Вычислите: а) 1 5/12 + 1/4 - 0,8 б) 1 5/9 * 5/7 * 3,6 с решением.
4,6(61 оценок)
Открыть все ответы
Ответ:
ufvsjfhgdgkhdvj
ufvsjfhgdgkhdvj
19.03.2022
1)96÷4=24 кг-завантажили у велику пральну машину;                                        2)96-24=72 кг-решта;                                                                                        3)72÷4=18 кг-завантажено в малу машину;                                                       1)81÷3=27 л-витратили на сніданок;                                                                  2)81-27=54 л-решта;                                                                                         3)54÷18=3 баки було необхідно;                                                                        Відрізок 100 мм-10 см
4,7(60 оценок)
Ответ:
vaniafc007
vaniafc007
19.03.2022
Возможны 2 случая.
1) Машина со скоростью 110 км/ч догоняет машину со скоростью 90.
Догоняет она ее со скоростью 20 км/ч.
Через 1 час расстояние уменьшится на 20 км, через 2 часа - на 40 км,
через 5 часов - на 100 км.
Если бы мы знали начальное расстояние между городами, то могли бы сказать, когда машина 110 км/ч догонит машину 90 км/ч.

2) Машина со скоростью 90 км/ч догоняет машину со скоростью 110.
Точнее, не догоняет, а отстает. Тоже со скоростью 20 км/ч.
Здесь числа те же, но расстояние не уменьшается, а увеличивается.
Через 1 час расстояние увеличится на 20 км, через 2 часа - на 40 км,
через 5 часов - на 100 км.
4,6(46 оценок)
Новые ответы от MOGZ: Математика
logo
Вход Регистрация
Что ты хочешь узнать?
Спроси Mozg
Открыть лучший ответ