М
Молодежь
К
Компьютеры-и-электроника
Д
Дом-и-сад
С
Стиль-и-уход-за-собой
П
Праздники-и-традиции
Т
Транспорт
П
Путешествия
С
Семейная-жизнь
Ф
Философия-и-религия
Б
Без категории
М
Мир-работы
Х
Хобби-и-рукоделие
И
Искусство-и-развлечения
В
Взаимоотношения
З
Здоровье
К
Кулинария-и-гостеприимство
Ф
Финансы-и-бизнес
П
Питомцы-и-животные
О
Образование
О
Образование-и-коммуникации
пецааааа1
пецааааа1
29.04.2021 11:48 •  Математика

Взять определенный интеграл (в пределах от 0 до 1): (x^3 * ctg(3+x^4))dx

👇
Ответ:
яна7933
яна7933
29.04.2021
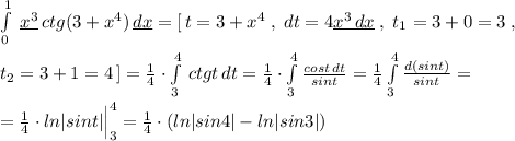
\int\limits^1_0 \; \underline {x^3}\, ctg(3+x^4)} \, \underline {dx} =[\, t=3+x^4\; ,\; dt=4\underline {x^3\, dx}\; ,\; t_1=3+0=3\; ,\\\\t_2=3+1=4\, ]=\frac{1}{4}\cdot \int\limits_3^4 \, ctgt \, dt= \frac{1}{4}\cdot \int\limits_3^4 \frac{cost\, dt}{sint} = \frac{1}{4} \int\limits^4_3 \frac{d(sint)}{sint}=\\\\=\frac{1}{4}\cdot ln|sint|\Big |_3^4=\frac{1}{4}\cdot (ln|sin4|-ln|sin3|)
4,7(60 оценок)
Открыть все ответы
Ответ:
SvetaCat115
SvetaCat115
29.04.2021
. скорость Тани 160м/мин
ей нужно было пробежать до варежки 240м
на это у нее ушло = 240/160=1,5минуты

2. За это время 1,5 минуты Коля ушел на х м.
его скорость 80 м/мин, значит
80*1,5=120м

3. Тане надо еще догнать Колю, и пробежать столько, чтобы сравняться с Колей.
Коля начинает движение с отметки 120м, так как уже ушел туда, пока Таня бежала за Варежкой. А Таня от варежки, с отметки 0 м.
Поэтому:
через 1 минуту = Коля 120+80=200м, Таня 0+160=160м
через 0,5 минуты = Коля 200+40=240м, Таня 160+80=240м

4. Таня бежала за варежкой 1,5 минуты, и потом еще 1,5 минуты за Колей. Всего 3 минуты ей потребуется.

ответ: 3 минуты.
4,4(81 оценок)
Ответ:
айлан8
айлан8
29.04.2021
4440х19-88200:90=83380                                                                               1) 4440х19=84360          2)88200:90=980          3)84360-980=83380               (4635х85+65400):5=91875                                                                               1)4635х85=393975          2)393975+654000=459375         3)459375:5=91875                                                                                700000-72х(63760:40х15-15376)=85552                                                         1)63760:40=1594          2)1594х15=23910          3)23910-15376=8534         4)8534х72=614448          5)700000-614448=85552                                    22269:3х17х7-39606+1338=924281                                                                  1)22269:3=7423          2)7423х17=126191          3)126191х7=883337        4)883337-39606=922943          5)922943+1338=924281
4,5(63 оценок)
Это интересно:
Новые ответы от MOGZ: Математика
logo
Вход Регистрация
Что ты хочешь узнать?
Спроси Mozg
Открыть лучший ответ