М
Молодежь
К
Компьютеры-и-электроника
Д
Дом-и-сад
С
Стиль-и-уход-за-собой
П
Праздники-и-традиции
Т
Транспорт
П
Путешествия
С
Семейная-жизнь
Ф
Философия-и-религия
Б
Без категории
М
Мир-работы
Х
Хобби-и-рукоделие
И
Искусство-и-развлечения
В
Взаимоотношения
З
Здоровье
К
Кулинария-и-гостеприимство
Ф
Финансы-и-бизнес
П
Питомцы-и-животные
О
Образование
О
Образование-и-коммуникации
соня1584
соня1584
15.08.2020 22:31 •  Математика

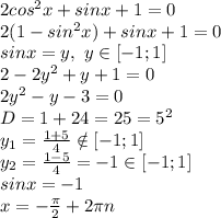
Решить этот пример 2cos^2x+sin x+1=0

👇
Ответ:
cwqfqeggqeg
cwqfqeggqeg
15.08.2020
2cos^2x+sin x+1=0
\\2(1-sin^2x)+sinx+1=0
\\sinx=y, \ y \in [-1;1]
\\2-2y^2+y+1=0
\\2y^2-y-3=0
\\D=1+24=25=5^2
\\y_1= \frac{1+5}{4} \notin [-1;1]
\\y_2= \frac{1-5}{4}=-1 \in [-1;1] 
\\sinx=-1
\\x=- \frac{\pi}{2} +2\pi n
ответ: x=- \frac{\pi}{2} +2\pi n
4,8(78 оценок)
Открыть все ответы
Ответ:
andreylishtaev
andreylishtaev
15.08.2020
Здравствуйте, дорогой (к примеру) Иван Васильевич! Спешу от всей души поздравить Вас с юбилеем! Сегодня я хочу пожелать Вам много всего хорошо, потому что именно в день рождения принято говорить человеку пожелания. Вы - добрый, отзывчивый, щедрый человек! Вы много достигли своими усилиями и достичь высот и другим людям! И в этот день я хочу отметить не только Ваши заслуги, но и пожелать Вам много чего ещё! Желаю Вам крепкого здоровья, безмерного счастья, творческих успехов, большой любви и моря позитива! Пусть каждый день Вас радуют какие-либо приятные вещи, которые запомнятся и будут радовать Вас и напоминать Вам о прекрасной жизни, которую Вы заслуживаете. Поздравляю ещё раз, будьте счастливы!
4,8(79 оценок)
Ответ:
Bauer322
Bauer322
15.08.2020
Al Ведущий Модератор

Пусть у Оли есть некая сумма денег , т.к. по условию ее не хватает на 8 блокнотов по 8 рублей, то она меньше 8*8, т.е. меньше 64 руб, И Оля может купить менее 8 блокнотов по 8 рублей на свои деньги.
Оля не может также купить и 7 блокнотов по 8 рублей, так как они бы стоили столько же, сколько и 8 блокнотов по 7 рублей, и был бы одинаковый остаток, что противоречит условию.
Остаток от покупки на ВСЕ деньги блокнотов по 7 рублей меньше 7 рублей, так как в противном случае можно было купить еще один блокнот, а Оля их купила максимальное количество: "на все деньги", но остаток не должен быть меньше 6 рублей, так как про этом нарушалось бы условие, что при покупке 8-рублевых блокнотом остаток БЫЛ БЫ и был на 5 рублей меньше. Единственный вариант остатка : 6 рублей для 7 рублевых и 1 рубль для 8 рублевых блокнотов.
Мы нашли, что Оля не может купить ни 8, ни 7 блокнотов по 8 рублей, но и 6 блокнотов по 8 рублей она тоже не может купить, т.к. в таком случае у нее было бы 8*6+1 = 49 рублей и она могла бы купить 7 блокнотов по 7 рублей без остатка, что противоречит условию.
Разница между остатками в 5 рублей означает, что при покупке 8-ми рублевых блокнотов к каждому купленному блокноту по 7 добавили по 1 рублю, и этого хватило на 5 блокнотов: 5:1=5(бл.)
Тогда денег было: 8*5+1 = 41(рубль)
ответ: 41 рубль
Проверка: 41 : 7 = 5(бл.)+ 6 руб(остаток.). 6-1=5, что соответствует условию.
4,4(96 оценок)
Это интересно:
Новые ответы от MOGZ: Математика
logo
Вход Регистрация
Что ты хочешь узнать?
Спроси Mozg
Открыть лучший ответ