М
Молодежь
К
Компьютеры-и-электроника
Д
Дом-и-сад
С
Стиль-и-уход-за-собой
П
Праздники-и-традиции
Т
Транспорт
П
Путешествия
С
Семейная-жизнь
Ф
Философия-и-религия
Б
Без категории
М
Мир-работы
Х
Хобби-и-рукоделие
И
Искусство-и-развлечения
В
Взаимоотношения
З
Здоровье
К
Кулинария-и-гостеприимство
Ф
Финансы-и-бизнес
П
Питомцы-и-животные
О
Образование
О
Образование-и-коммуникации
yaritos
yaritos
05.02.2021 19:57 •  Математика

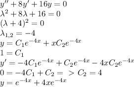
Найти общее и частное решение дифференциального уравнения второго порядка y''+8y'+16y=0; y(0)=1; y'(0)=0

👇
Ответ:
Ампорик
Ампорик
05.02.2021
y''+8y'+16y=0\\\lambda^2+8\lambda+16=0\\(\lambda+4)^2=0\\\lambda_{1,2}=-4\\y=C_1e^{-4x}+xC_2e^{-4x}\\1=C_1\\y'=-4C_1e^{-4x}+C_2e^{-4x}-4xC_2e^{-4x}\\0=-4C_1+C_2=\ \textgreater \ C_2=4\\y=e^{-4x}+4xe^{-4x}
4,5(100 оценок)
Открыть все ответы
Ответ:
diiii2
diiii2
05.02.2021

ГРУППА 1 (С Ь ЗНАКОМ)

Зажечь (н. ф), речь (сущ., 3 скл.), привлечь (н. ф), сберечь (н. ф), испечь (н. ф), пересечь (н. ф), отстричь (н. ф), стеречь (н. ф), прожечь (н. ф), ночь (сущ., 3 скл.), мелочь (сущ., 3 скл.), обжечь (н. ф), запрячь (н. ф), прилечь (н. ф).

ГРУППА 2 (БЕЗ Ь ЗНАКА)

силач (сущ., 2 скл.), скрипач (сущ., 2 скл.), могуч (кр. прилаг.), (много) туч (сущ., 1 скл.), ткач (сущ., 2 скл.), певуч (кр. прилаг.), бич (сущ., 2 скл.), линюч (кр. прилаг.), кумач (суш., 2 скл.), врач (сущ., 2 скл.), грач (сущ., 2 скл.), богач (сущ., 2 скл.), (пять) задач (сущ., 1 скл.), трескуч (кр. прилаг.), пахуч (кр. прилаг.), (несколько) тысяч (сущ., 1 скл.).

Удачи в учёбе ^з^

4,4(9 оценок)
Ответ:
fox2457667
fox2457667
05.02.2021

Решить :

1) 4,3 × ( - 2,6 ) = - 11,18 ;

2) - 1 11/17 × ( - 12 3/4 ) = 21 ;

3) - 11,01 : ( - 0,3 ) = 36,7 ;

4) - 11,44 ÷ 11 = - 1 2/5 ( - 1,04 ) ;

Упростите выражение :

1) -2,4m*(-3n) = 7,2mn ;

2) -8a-12b+5a+17b = -3a + 5b ;

3) a-(a+5)+(-7+a) = a - a - 5 - 7 + a = a - 12 ;

4) -5(y-4)+(y+5) = -5y - 20 + y + 5 = - 4y - 15 ;

Упростите выражение -4(2,3x-3)-(5-2,6x)+3(0,6x-2) и вычислите его значение при x= 5/12

-4 ( 2,3x - 3) - ( 5 - 2,6x ) + 3 ( 0,6x - 2 ) =

- 9,2x + 12 - 5 - 2,6x + 1,8x - 6 =

10x - 1

значение при х = 5/12

10 × 5/12 - 1 =

4 1/6 - 1 = 3 1/6 ( 3,16 )

ответ : 3 1/6 .

4,5(11 оценок)
Это интересно:
Новые ответы от MOGZ: Математика
logo
Вход Регистрация
Что ты хочешь узнать?
Спроси Mozg
Открыть лучший ответ