М
Молодежь
К
Компьютеры-и-электроника
Д
Дом-и-сад
С
Стиль-и-уход-за-собой
П
Праздники-и-традиции
Т
Транспорт
П
Путешествия
С
Семейная-жизнь
Ф
Философия-и-религия
Б
Без категории
М
Мир-работы
Х
Хобби-и-рукоделие
И
Искусство-и-развлечения
В
Взаимоотношения
З
Здоровье
К
Кулинария-и-гостеприимство
Ф
Финансы-и-бизнес
П
Питомцы-и-животные
О
Образование
О
Образование-и-коммуникации
круто45
круто45
24.04.2020 11:25 •  Математика

Составьте уравнения прямой через точки: а(3; -2), в(5; 4)

👇
Ответ:
alinamensikova
alinamensikova
24.04.2020
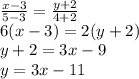
\frac{x-3}{5-3} = \frac{y+2}{4+2} \\
6(x-3) = 2(y+2)\\
y+2 = 3x-9\\
y=3x-11
4,7(85 оценок)
Ответ:
dina249
dina249
24.04.2020
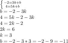
Уравнение прямой:
y=kx+b
составляем систему и решаем:
\left \{ {{-2=3k+b} \atop {4=5k+b}} \right. 
\\b=-2-3k
\\4=5k-2-3k
\\4=2k-2
\\2k=6
\\k=3
\\b=-2-3*3=-2-9=-11
y=3x-11 - искомая прямая
ответ: y=3x-11
4,8(27 оценок)
Открыть все ответы
Ответ:
IvanVano05
IvanVano05
24.04.2020
1)( 1/2 (домножаем на 5) +1/5( домножаем на 2)) : 2 - 3/10 = (5/10+2/10) : 2 - 3/10= 7/10 : 2 -3/10= 7/10 * 1/2 -3/10 = 7/20 - 3/10 (домножаем на 2) = 7/20 - 6/20 = 1/20
2)( 3/4( домножаем на 3) - 5/12) * 8 +1/18= (9/12- 15/12) * 8 +1/18= 4/12 *8+ 1/18 = 32/12( сокращаем на 12) +1/18 = 3+ 1/18 = 3 целых 1/18
3)( 7/15 + 4/5 (домножаем на 3) : 3 - 1/9= (7/15 +12/15) : 3 - 1/9= 19/15:3-1/9 = 19/15 * 1/3 -1/9= 19/45- 1/9 (домножаем на 5) = 19/45 - 5/45= 14/45
4) (3/7 (домножаем на 3) - 1/21) - 14 -1/6= (9/21 - 1/21) -14-1/6= 8/21 (домножаем на 2) - 13 целых 5/6 (домножаем на 7)= 16/42 - 13 целых 35/42 = - 13 целых 19/42
4,5(74 оценок)
Ответ:
лина2110
лина2110
24.04.2020
Гражданская оборона — система мероприятий по подготовке к защите и по защите населения, материальных и культурных ценностей от опасностей, возникающих при ведении военных действий или вследствие этих действий, а также при возникновении чрезвычайных ситуаций природного и техногенного характера. Организация и ведение гражданской обороны являются одними из важнейших функций государства, составными частями оборонного строительства, обеспечения безопасности государства. 
Гражданская оборона (ГО) является одной из важнейших функций государства, составной части оборонного строительства и обеспечения безопасности населения страны. Общее руководство гражданской обороной осуществляет Правительство Российской Федерации. Руководство гражданской обороной в федеральных округах исполнительной власти обеспечивают их руководители, которые по должности являются начальниками ГО. В настоящее время сформирована достаточно эффективная законодательная и нормативно-правовая база, направленная на обеспечение безопасности человека. Приняты Федеральные законы «О защите населения и территорий от чрезвычайных ситуаций природного и техногенного характера» , «Об аварийно службах и статусе и «О гражданской обороне» . Защита населения достигается подготовкой и использованием современных сил и средств защиты, внедрением передовых технологий. Для совершенствования радиационной и химической защиты предусматривается создание и своевременное освежение резерва средств индивидуальной защиты, медицинских средств защиты, лекарственных препаратов и медицинской техники. Кроме того, важнейшей задачей ГО является повышение устойчивости функционирования важных объектов экономики. Действует отлаженный государственный механизм по предупреждению возникновения и развития чрезвычайных ситуаций, снижению потерь среди населения и материального ущерба в экономике. В связи с возросшей угрозой применения химического, биологического и других видов оружия руководством гражданской обороны уделяется серьёзное внимание использованию ресурсов ГО для противодействия терроризму, развитию сети наблюдения и лабораторного контроля
4,5(34 оценок)
Новые ответы от MOGZ: Математика
logo
Вход Регистрация
Что ты хочешь узнать?
Спроси Mozg
Открыть лучший ответ